mp-4888-2/NbPO5/anharm

Equation of state

../../_images/fig_bm5099.png

(a) Equation of state

Harmonic properties

../../_images/fig_bandos_pr10163.png

(a) Phonon dispersion with participation ratio and DOS

../../_images/fig_thermo10163.png

(b) Thermodynamic properties

Grüneisen parameters

../../_images/fig_gru_all4100.png

(a) Grüneisen parameters

../../_images/fig_gruneisen4100.png

(b) Phonon dispersion with Grüneisen parameters

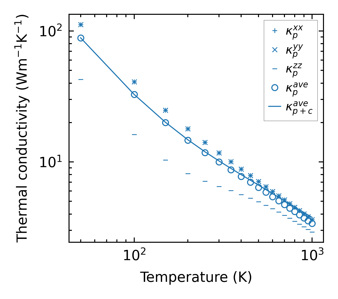
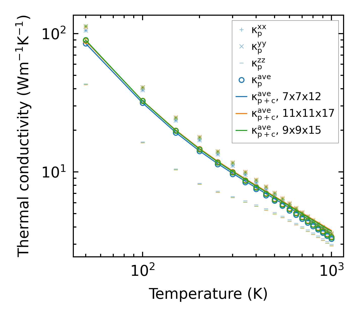
Thermal conductivity

3-phonon (LASSO) — q-mesh: 11x11x17, supercell: 2x2x2

../../_images/fig_kappa7732.png

(a) Temperature-dependent lattice thermal conductivity

../../_images/fig_kappa_vs_grain_size4155.png

(b) Peierls lattice thermal conductivity w.r.t grain size

Phonon lifetime and scattering rates

../../_images/fig_lifetime4062.png

(a) Phonon lifetime due to phonon-phonon scattering

../../_images/fig_scat_rates4061.png

(b) Phonon scattering rates

Cumulative and spectral thermal conductivity

../../_images/fig_cumu_frequency4062.png

(a) Spectral and cumulative thermal conductivity w.r.t frequency

../../_images/fig_cumu_mfp4061.png

(b) Spectral and cumulative thermal conductivity w.r.t MFP

Force constants

../../_images/fig_fc29915.png

(a) Force constants w.r.t atomic distance

Summary

../../_images/fig_kappa7733.png

(a) Temperature-dependent lattice thermal conductivity

../../_images/fig_times17610.png

(b) Computation time