mp-4002/Li2ZrF6/anharm

Harmonic properties

../../_images/fig_bandos_pr10300.png

(a) Phonon dispersion with participation ratio and DOS

../../_images/fig_thermo10300.png

(b) Thermodynamic properties

Grüneisen parameters

../../_images/fig_gru_all4150.png

(a) Grüneisen parameters

../../_images/fig_gruneisen4150.png

(b) Phonon dispersion with Grüneisen parameters

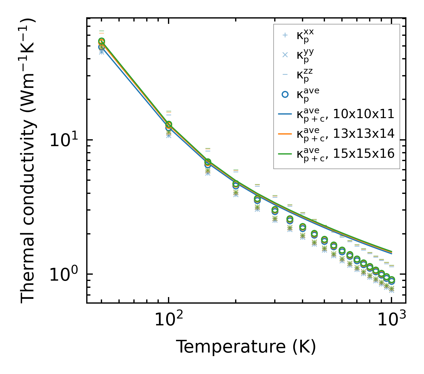
Thermal conductivity

3-phonon (LASSO) — q-mesh: 15x15x16, supercell: 2x2x3

../../_images/fig_kappa7826.png

(a) Temperature-dependent lattice thermal conductivity

../../_images/fig_kappa_vs_grain_size4206.png

(b) Peierls lattice thermal conductivity w.r.t grain size

Phonon lifetime and scattering rates

../../_images/fig_lifetime4112.png

(a) Phonon lifetime due to phonon-phonon scattering

../../_images/fig_scat_rates4111.png

(b) Phonon scattering rates

Cumulative and spectral thermal conductivity

../../_images/fig_cumu_frequency4112.png

(a) Spectral and cumulative thermal conductivity w.r.t frequency

../../_images/fig_cumu_mfp4111.png

(b) Spectral and cumulative thermal conductivity w.r.t MFP

Force constants

../../_images/fig_fc210050.png

(a) Force constants w.r.t atomic distance

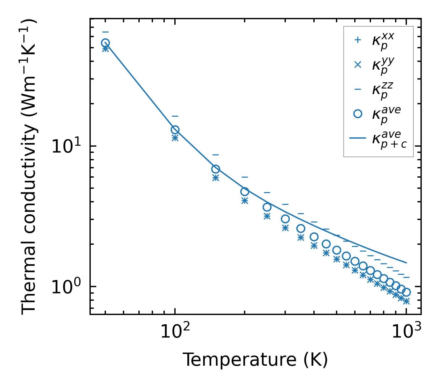
Summary

../../_images/fig_kappa7827.png

(a) Temperature-dependent lattice thermal conductivity

../../_images/fig_times17801.png

(b) Computation time