mp-4598/Sr4PtO6/anharm

Harmonic properties

../../_images/fig_bandos_pr10086.png

(a) Phonon dispersion with participation ratio and DOS

../../_images/fig_thermo10086.png

(b) Thermodynamic properties

Grüneisen parameters

../../_images/fig_gru_all4059.png

(a) Grüneisen parameters

../../_images/fig_gruneisen4059.png

(b) Phonon dispersion with Grüneisen parameters

Thermal conductivity

3-phonon (LASSO) — q-mesh: 10x10x10, supercell: 1x1x1

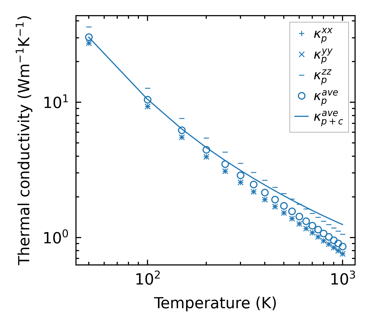
../../_images/fig_kappa7657.png

(a) Temperature-dependent lattice thermal conductivity

../../_images/fig_kappa_vs_grain_size4113.png

(b) Peierls lattice thermal conductivity w.r.t grain size

Phonon lifetime and scattering rates

../../_images/fig_lifetime4021.png

(a) Phonon lifetime due to phonon-phonon scattering

../../_images/fig_scat_rates4020.png

(b) Phonon scattering rates

Cumulative and spectral thermal conductivity

../../_images/fig_cumu_frequency4021.png

(a) Spectral and cumulative thermal conductivity w.r.t frequency

../../_images/fig_cumu_mfp4020.png

(b) Spectral and cumulative thermal conductivity w.r.t MFP

Force constants

../../_images/fig_fc29838.png

(a) Force constants w.r.t atomic distance

Summary

../../_images/fig_kappa7658.png

(a) Temperature-dependent lattice thermal conductivity

../../_images/fig_times17493.png

(b) Computation time