mp-4426/Li4SeO5/anharm

Harmonic properties

../../_images/fig_bandos_pr10407.png

(a) Phonon dispersion with participation ratio and DOS

../../_images/fig_thermo10407.png

(b) Thermodynamic properties

Grüneisen parameters

../../_images/fig_gru_all4213.png

(a) Grüneisen parameters

../../_images/fig_gruneisen4213.png

(b) Phonon dispersion with Grüneisen parameters

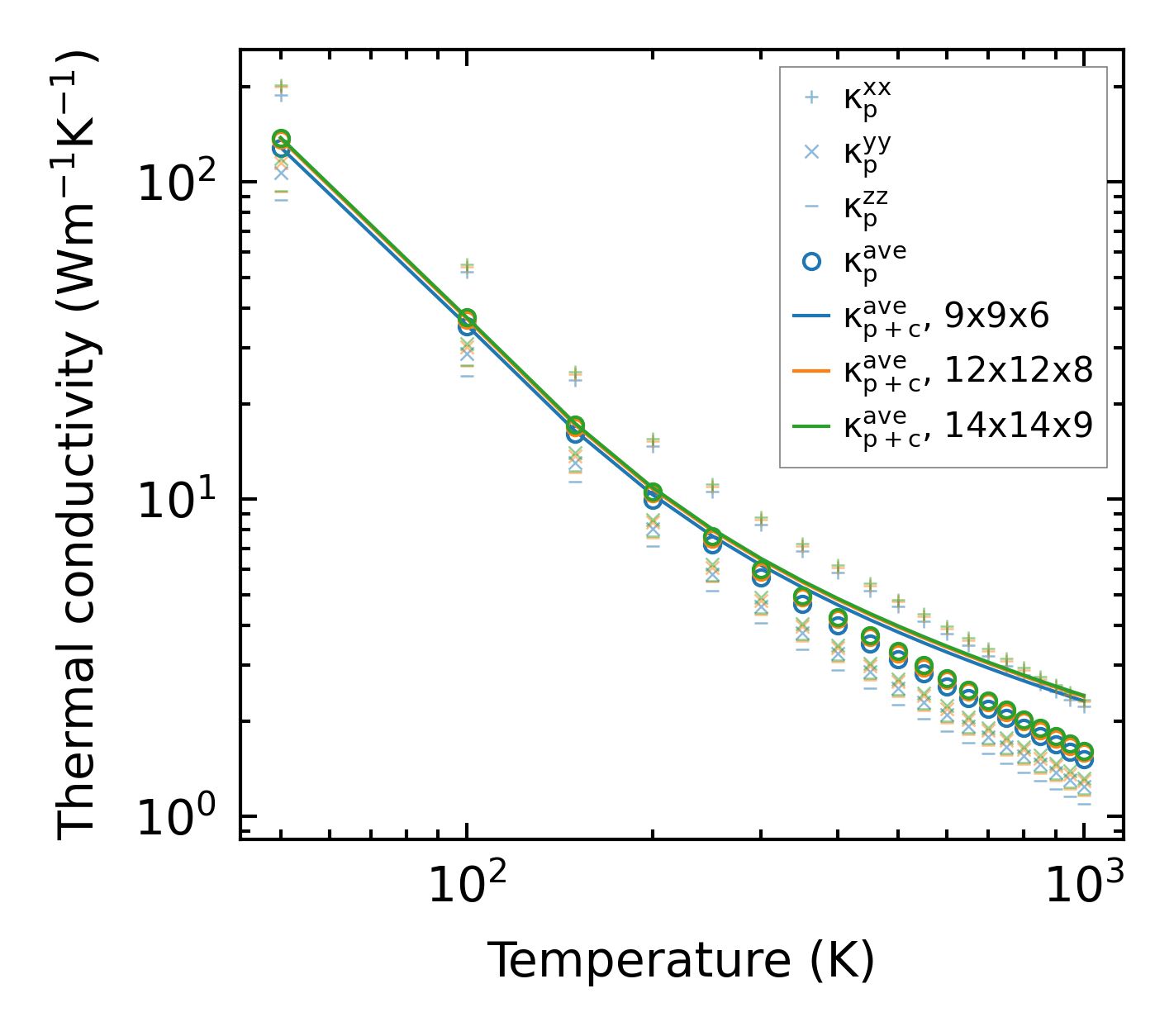
Thermal conductivity

3-phonon (LASSO) — q-mesh: 14x14x9, supercell: 1x2x1

../../_images/fig_kappa7943.png

(a) Temperature-dependent lattice thermal conductivity

../../_images/fig_kappa_vs_grain_size4267.png

(b) Peierls lattice thermal conductivity w.r.t grain size

Phonon lifetime and scattering rates

../../_images/fig_lifetime4173.png

(a) Phonon lifetime due to phonon-phonon scattering

../../_images/fig_scat_rates4172.png

(b) Phonon scattering rates

Cumulative and spectral thermal conductivity

../../_images/fig_cumu_frequency4173.png

(a) Spectral and cumulative thermal conductivity w.r.t frequency

../../_images/fig_cumu_mfp4172.png

(b) Spectral and cumulative thermal conductivity w.r.t MFP

Force constants

../../_images/fig_fc210150.png

(a) Force constants w.r.t atomic distance

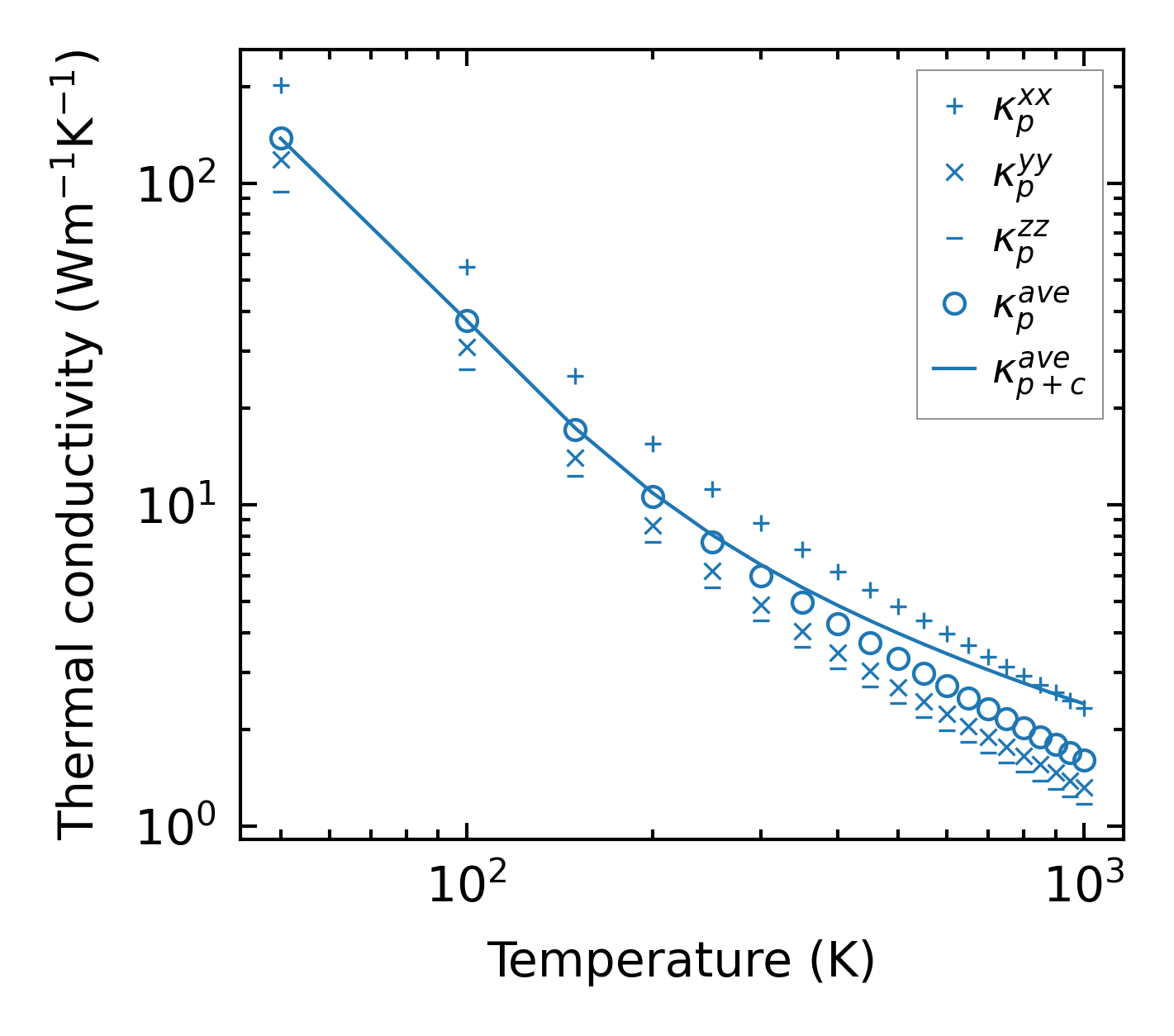
Summary

../../_images/fig_kappa7944.png

(a) Temperature-dependent lattice thermal conductivity

../../_images/fig_times17951.png

(b) Computation time