mp-4077/CdC2N2/anharm

Harmonic properties

../../_images/fig_bandos_pr10324.png

(a) Phonon dispersion with participation ratio and DOS

../../_images/fig_thermo10324.png

(b) Thermodynamic properties

Grüneisen parameters

../../_images/fig_gru_all4164.png

(a) Grüneisen parameters

../../_images/fig_gruneisen4164.png

(b) Phonon dispersion with Grüneisen parameters

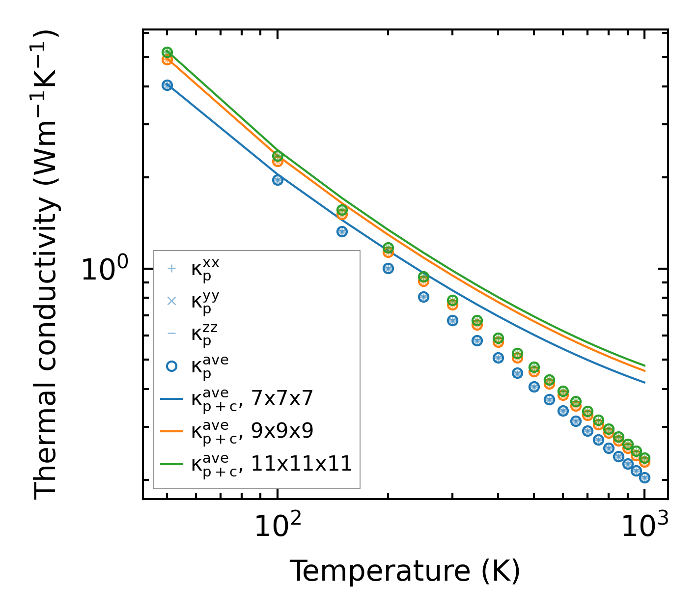
Thermal conductivity

3-phonon — q-mesh: 11x11x11, supercell: 2x2x2

../../_images/fig_kappa7850.png

(a) Temperature-dependent lattice thermal conductivity

../../_images/fig_kappa_vs_grain_size4219.png

(b) Peierls lattice thermal conductivity w.r.t grain size

Phonon lifetime and scattering rates

../../_images/fig_lifetime4125.png

(a) Phonon lifetime due to phonon-phonon scattering

../../_images/fig_scat_rates4124.png

(b) Phonon scattering rates

Cumulative and spectral thermal conductivity

../../_images/fig_cumu_frequency4125.png

(a) Spectral and cumulative thermal conductivity w.r.t frequency

../../_images/fig_cumu_mfp4124.png

(b) Spectral and cumulative thermal conductivity w.r.t MFP

Force constants

../../_images/fig_fc3253.png

(a) Force constants w.r.t atomic distance

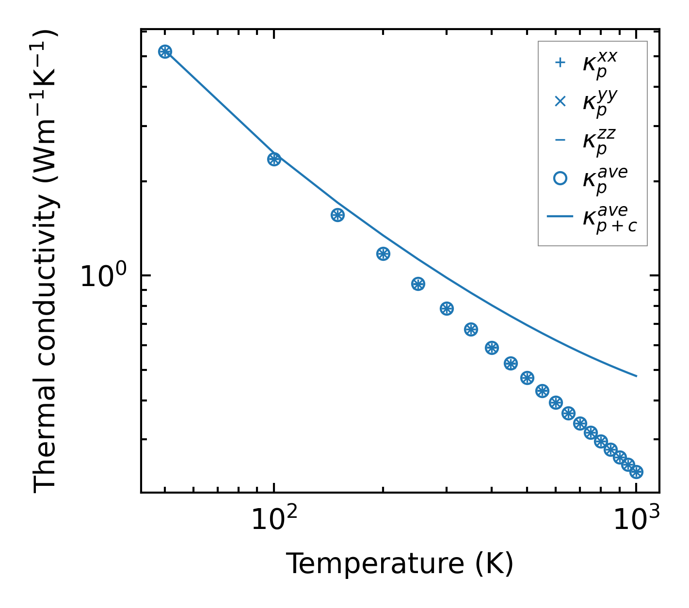
Summary

../../_images/fig_kappa7851.png

(a) Temperature-dependent lattice thermal conductivity

../../_images/fig_times17829.png

(b) Computation time