mp-4124/CaCN2/anharm

Harmonic properties

../../_images/fig_bandos_pr10338.png

(a) Phonon dispersion with participation ratio and DOS

../../_images/fig_thermo10338.png

(b) Thermodynamic properties

Grüneisen parameters

../../_images/fig_gru_all4174.png

(a) Grüneisen parameters

../../_images/fig_gruneisen4174.png

(b) Phonon dispersion with Grüneisen parameters

Thermal conductivity

3-phonon (LASSO) — q-mesh: 18x18x18, supercell: 3x3x1

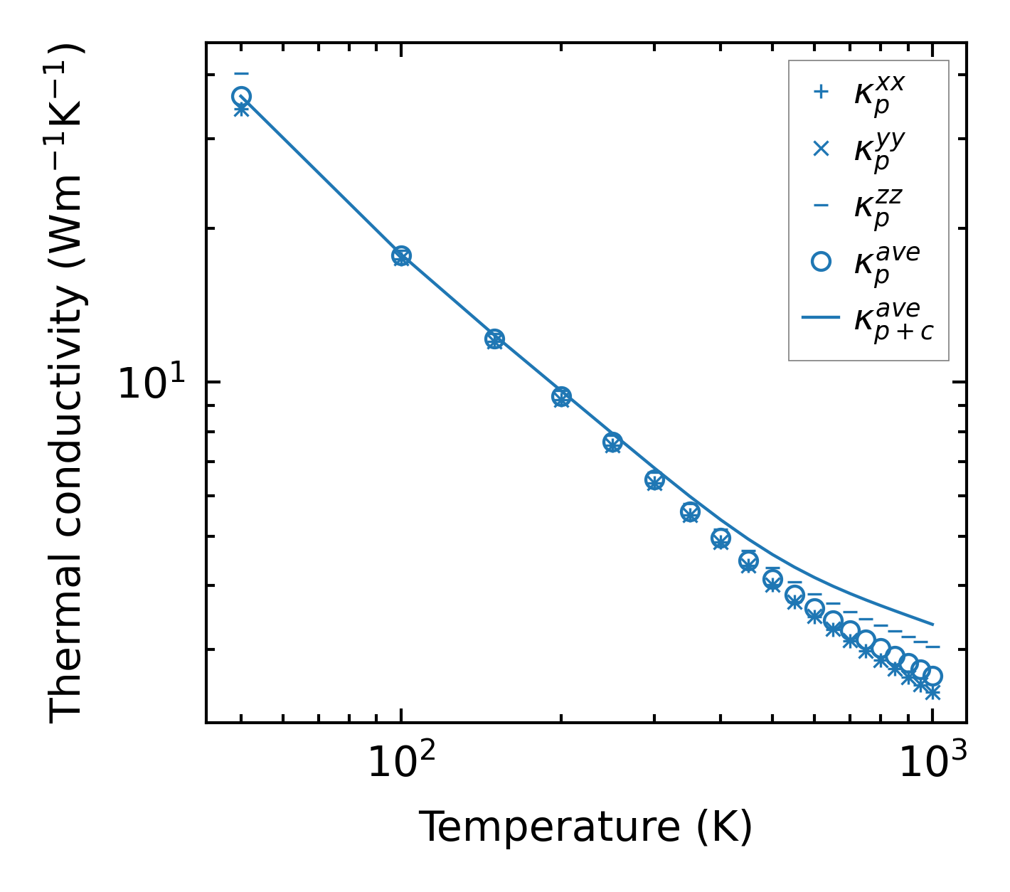
../../_images/fig_kappa7867.png

(a) Temperature-dependent lattice thermal conductivity

../../_images/fig_kappa_vs_grain_size4228.png

(b) Peierls lattice thermal conductivity w.r.t grain size

Phonon lifetime and scattering rates

../../_images/fig_lifetime4134.png

(a) Phonon lifetime due to phonon-phonon scattering

../../_images/fig_scat_rates4133.png

(b) Phonon scattering rates

Cumulative and spectral thermal conductivity

../../_images/fig_cumu_frequency4134.png

(a) Spectral and cumulative thermal conductivity w.r.t frequency

../../_images/fig_cumu_mfp4133.png

(b) Spectral and cumulative thermal conductivity w.r.t MFP

Force constants

../../_images/fig_fc210084.png

(a) Force constants w.r.t atomic distance

Summary

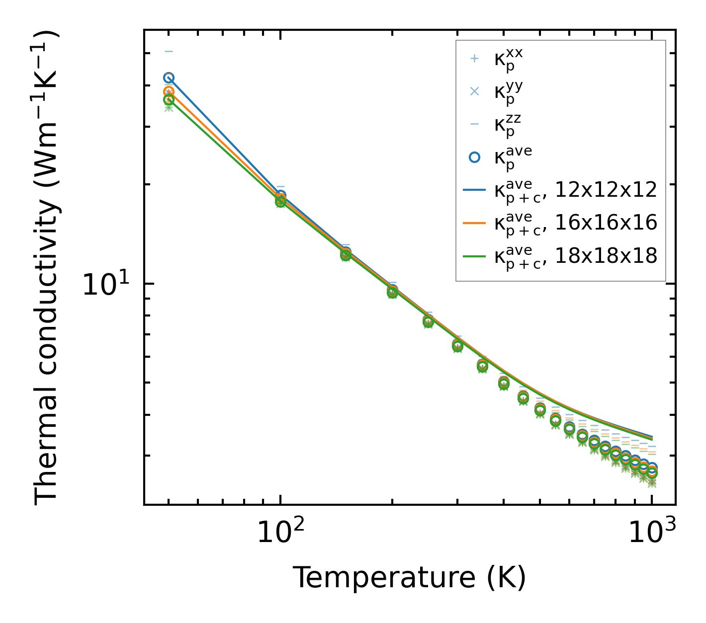
../../_images/fig_kappa7868.png

(a) Temperature-dependent lattice thermal conductivity

../../_images/fig_times17846.png

(b) Computation time