mp-4682/ZnSeO3/anharm

Harmonic properties

../../_images/fig_bandos_pr10114.png

(a) Phonon dispersion with participation ratio and DOS

../../_images/fig_thermo10114.png

(b) Thermodynamic properties

Grüneisen parameters

../../_images/fig_gru_all4074.png

(a) Grüneisen parameters

../../_images/fig_gruneisen4074.png

(b) Phonon dispersion with Grüneisen parameters

Thermal conductivity

3-phonon (LASSO) — q-mesh: 12x9x14, supercell: 2x1x2

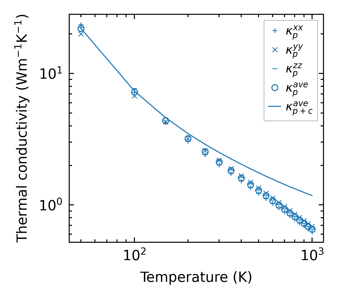
../../_images/fig_kappa7685.png

(a) Temperature-dependent lattice thermal conductivity

../../_images/fig_kappa_vs_grain_size4129.png

(b) Peierls lattice thermal conductivity w.r.t grain size

Phonon lifetime and scattering rates

../../_images/fig_lifetime4036.png

(a) Phonon lifetime due to phonon-phonon scattering

../../_images/fig_scat_rates4035.png

(b) Phonon scattering rates

Cumulative and spectral thermal conductivity

../../_images/fig_cumu_frequency4036.png

(a) Spectral and cumulative thermal conductivity w.r.t frequency

../../_images/fig_cumu_mfp4035.png

(b) Spectral and cumulative thermal conductivity w.r.t MFP

Force constants

../../_images/fig_fc29866.png

(a) Force constants w.r.t atomic distance

Summary

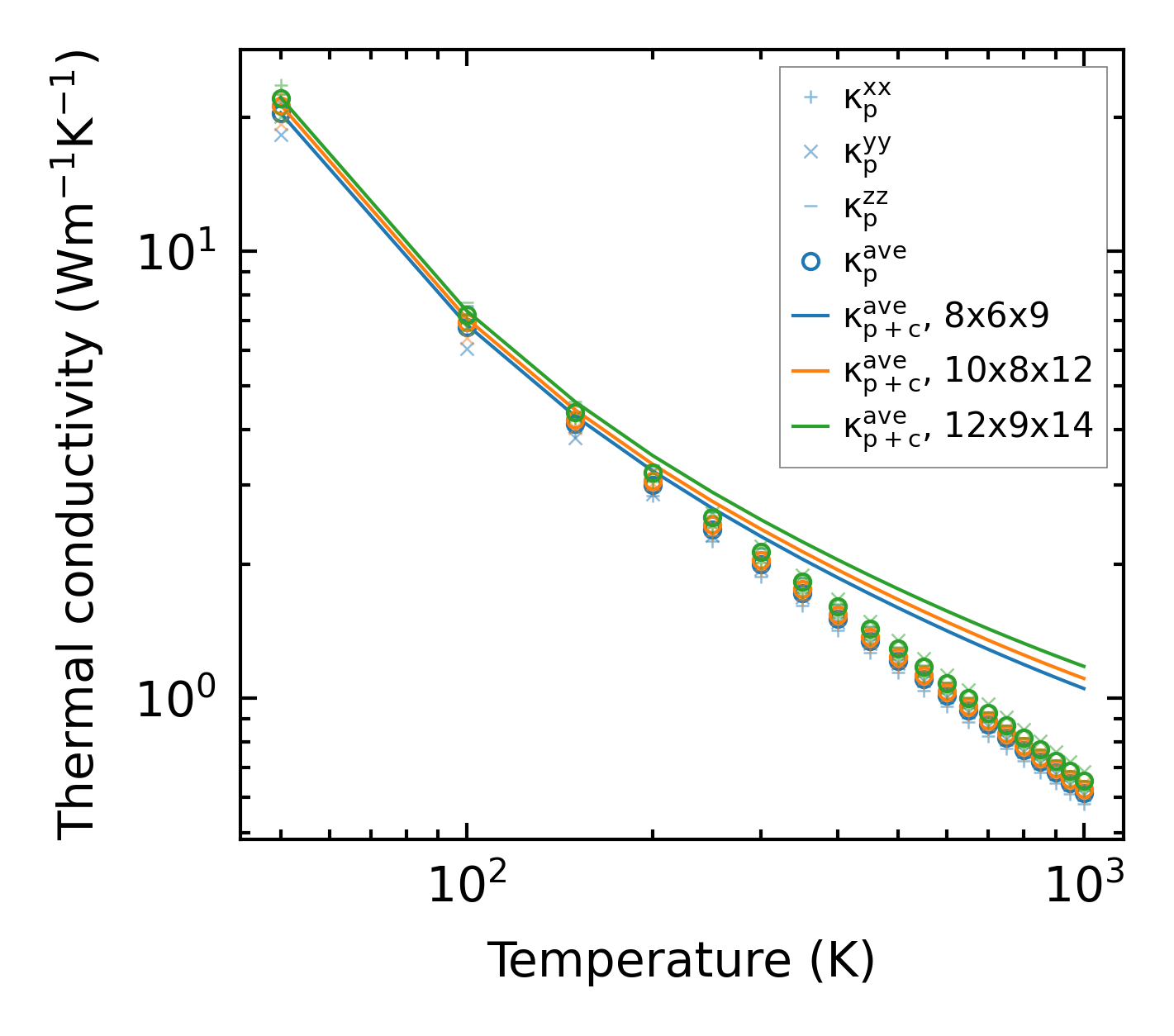
../../_images/fig_kappa7686.png

(a) Temperature-dependent lattice thermal conductivity

../../_images/fig_times17536.png

(b) Computation time