mp-4236-2/BaZnO2/anharm

Equation of state

../../_images/fig_bm5195.png

(a) Equation of state

Harmonic properties

../../_images/fig_bandos_pr10364.png

(a) Phonon dispersion with participation ratio and DOS

../../_images/fig_thermo10364.png

(b) Thermodynamic properties

Grüneisen parameters

../../_images/fig_gru_all4187.png

(a) Grüneisen parameters

../../_images/fig_gruneisen4187.png

(b) Phonon dispersion with Grüneisen parameters

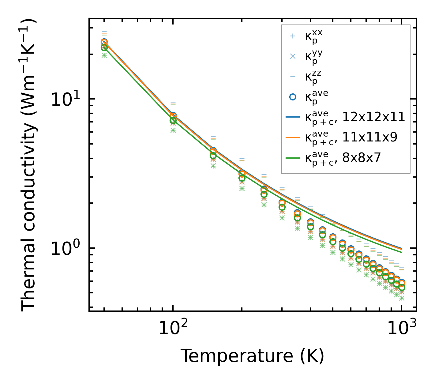
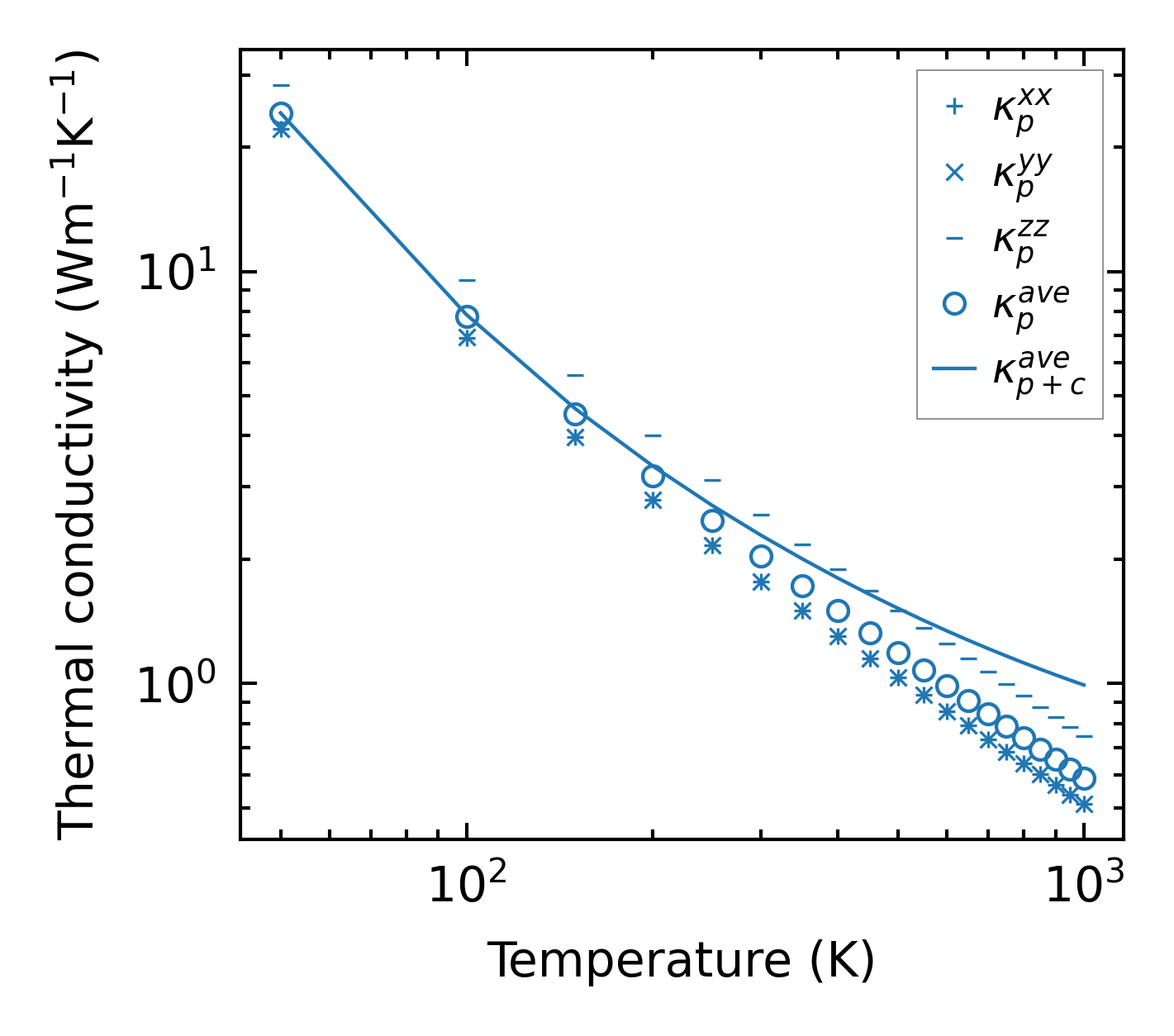
Thermal conductivity

3-phonon (LASSO) — q-mesh: 12x12x11, supercell: 2x2x2

../../_images/fig_kappa7892.png

(a) Temperature-dependent lattice thermal conductivity

../../_images/fig_kappa_vs_grain_size4241.png

(b) Peierls lattice thermal conductivity w.r.t grain size

Phonon lifetime and scattering rates

../../_images/fig_lifetime4147.png

(a) Phonon lifetime due to phonon-phonon scattering

../../_images/fig_scat_rates4146.png

(b) Phonon scattering rates

Cumulative and spectral thermal conductivity

../../_images/fig_cumu_frequency4147.png

(a) Spectral and cumulative thermal conductivity w.r.t frequency

../../_images/fig_cumu_mfp4146.png

(b) Spectral and cumulative thermal conductivity w.r.t MFP

Force constants

../../_images/fig_fc210109.png

(a) Force constants w.r.t atomic distance

Summary

../../_images/fig_kappa7893.png

(a) Temperature-dependent lattice thermal conductivity

../../_images/fig_times17887.png

(b) Computation time