mp-4753/Al2SiO5/anharm

Harmonic properties

../../_images/fig_bandos_pr10132.png

(a) Phonon dispersion with participation ratio and DOS

../../_images/fig_thermo10132.png

(b) Thermodynamic properties

Grüneisen parameters

../../_images/fig_gru_all4079.png

(a) Grüneisen parameters

../../_images/fig_gruneisen4079.png

(b) Phonon dispersion with Grüneisen parameters

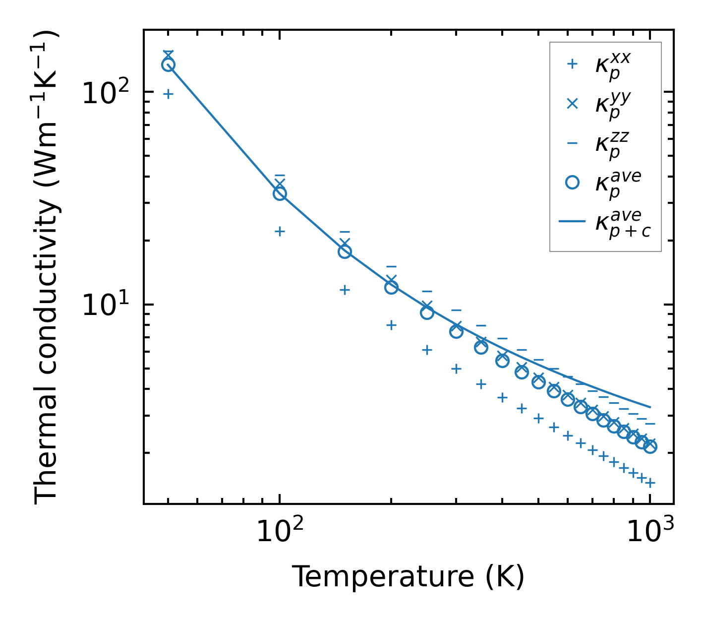
Thermal conductivity

3-phonon (LASSO) — q-mesh: 9x9x12, supercell: 2x1x2

../../_images/fig_kappa7693.png

(a) Temperature-dependent lattice thermal conductivity

../../_images/fig_kappa_vs_grain_size4134.png

(b) Peierls lattice thermal conductivity w.r.t grain size

Phonon lifetime and scattering rates

../../_images/fig_lifetime4041.png

(a) Phonon lifetime due to phonon-phonon scattering

../../_images/fig_scat_rates4040.png

(b) Phonon scattering rates

Cumulative and spectral thermal conductivity

../../_images/fig_cumu_frequency4041.png

(a) Spectral and cumulative thermal conductivity w.r.t frequency

../../_images/fig_cumu_mfp4040.png

(b) Spectral and cumulative thermal conductivity w.r.t MFP

Force constants

../../_images/fig_fc29884.png

(a) Force constants w.r.t atomic distance

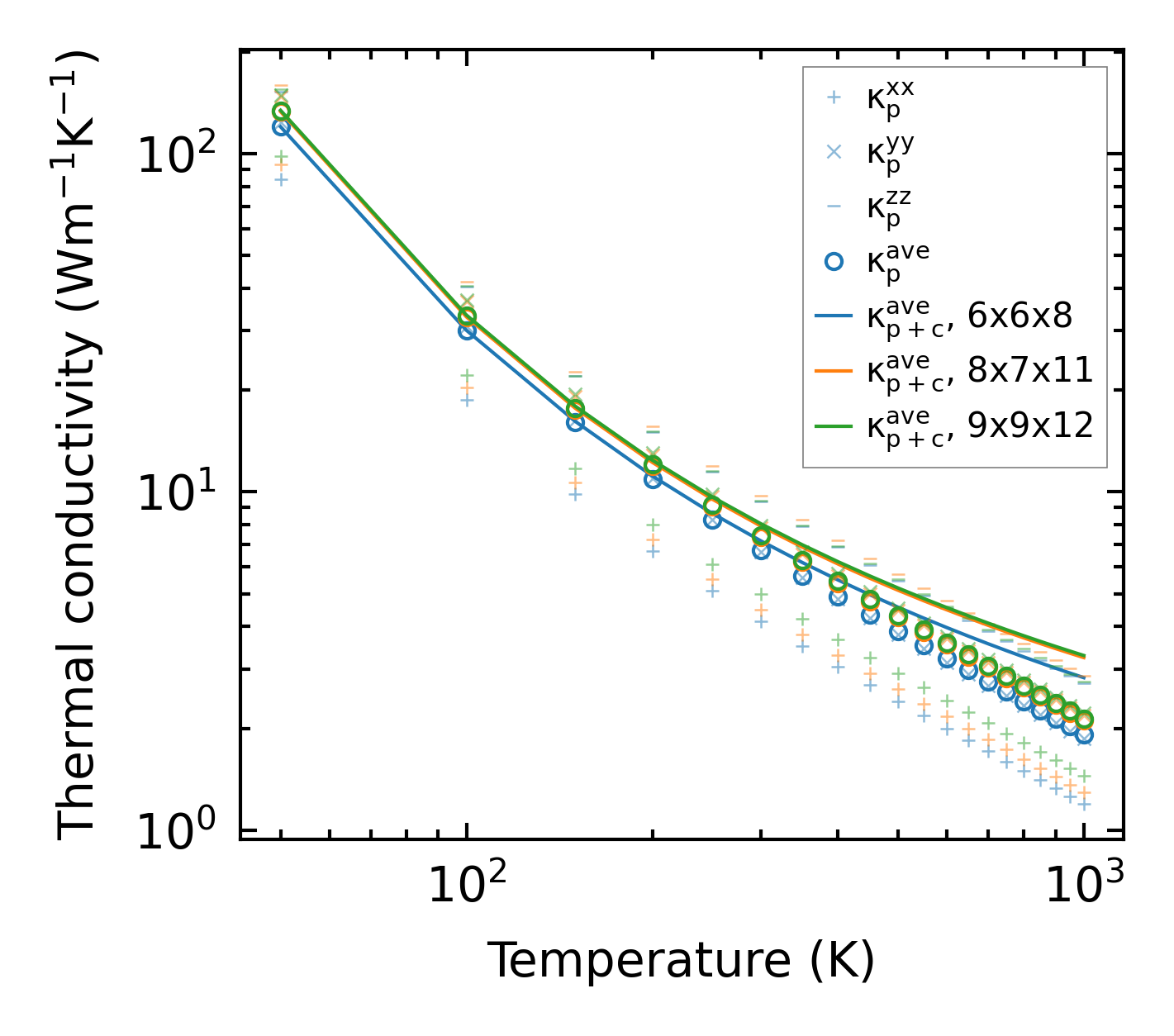
Summary

../../_images/fig_kappa7694.png

(a) Temperature-dependent lattice thermal conductivity

../../_images/fig_times17563.png

(b) Computation time