mp-4907/Na6Sn2S7/anharm

Equation of state

../../_images/fig_bm5102.png

(a) Equation of state

Harmonic properties

../../_images/fig_bandos_pr10169.png

(a) Phonon dispersion with participation ratio and DOS

../../_images/fig_bandos14111.png

(b) Phonon dispersion and DOS

../../_images/fig_thermo10169.png

(c) Thermodynamic properties

Grüneisen parameters

../../_images/fig_gru_all4103.png

(a) Grüneisen parameters

../../_images/fig_gruneisen4103.png

(b) Phonon dispersion with Grüneisen parameters

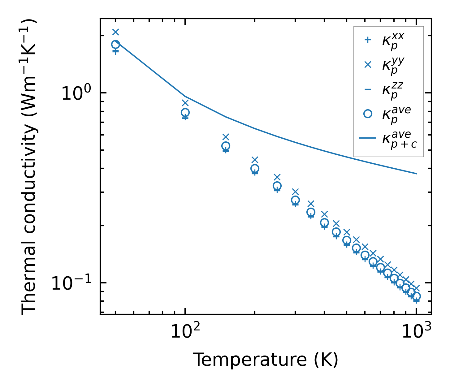
Thermal conductivity

3-phonon (LASSO), supercell 2x2x1 — q-mesh: 10x10x4, supercell: 2x2x1

../../_images/fig_kappa7737.png

(a) Temperature-dependent lattice thermal conductivity

../../_images/fig_kappa_vs_grain_size4158.png

(b) Peierls lattice thermal conductivity w.r.t grain size

Phonon lifetime and scattering rates

../../_images/fig_lifetime4065.png

(a) Phonon lifetime due to phonon-phonon scattering

../../_images/fig_scat_rates4064.png

(b) Phonon scattering rates

Cumulative and spectral thermal conductivity

../../_images/fig_cumu_frequency4065.png

(a) Spectral and cumulative thermal conductivity w.r.t frequency

../../_images/fig_cumu_mfp4064.png

(b) Spectral and cumulative thermal conductivity w.r.t MFP

Force constants

../../_images/fig_fc29921.png

(a) Force constants w.r.t atomic distance

Summary

../../_images/fig_times17616.png

(a) Computation time