mp-4175/ZnSnP2/anharm

Harmonic properties

../../_images/fig_bandos_pr10349.png

(a) Phonon dispersion with participation ratio and DOS

../../_images/fig_thermo10349.png

(b) Thermodynamic properties

Grüneisen parameters

../../_images/fig_gru_all4179.png

(a) Grüneisen parameters

../../_images/fig_gruneisen4179.png

(b) Phonon dispersion with Grüneisen parameters

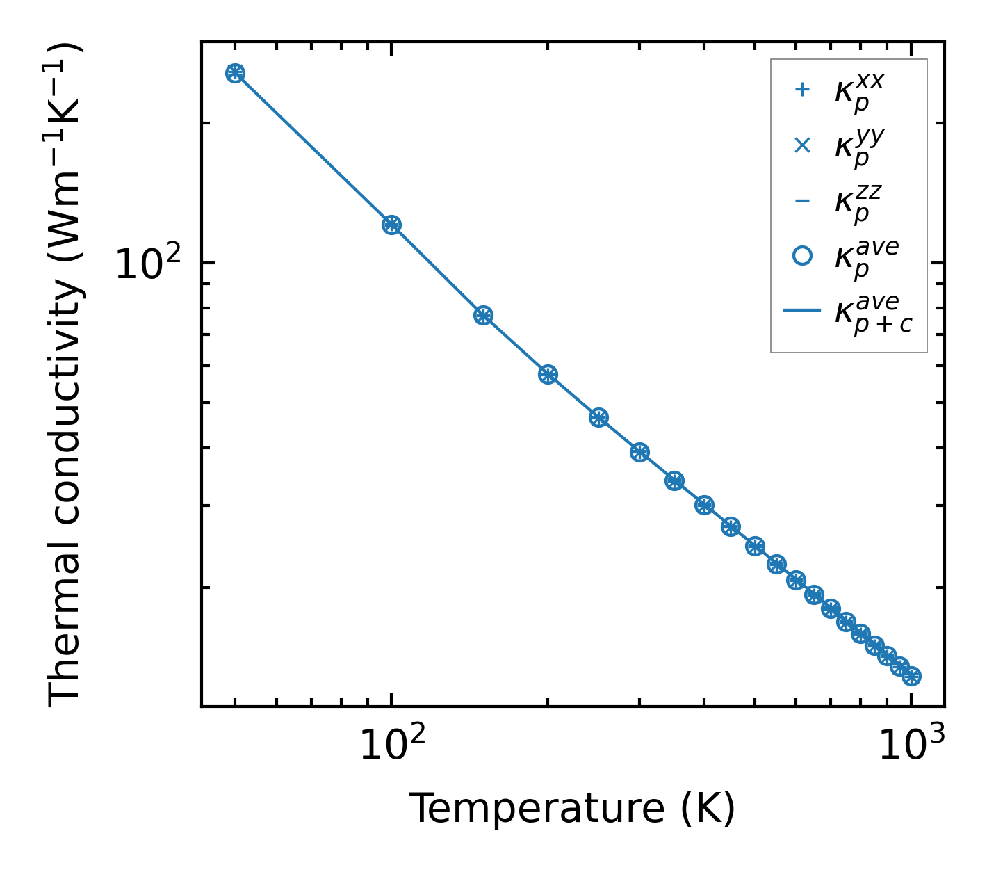
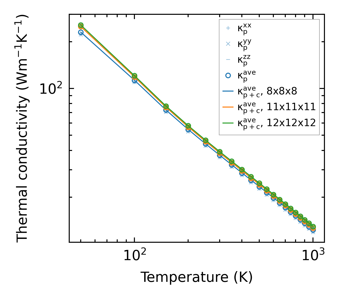
Thermal conductivity

3-phonon (LASSO) — q-mesh: 12x12x12, supercell: 3x3x1

../../_images/fig_kappa7877.png

(a) Temperature-dependent lattice thermal conductivity

../../_images/fig_kappa_vs_grain_size4233.png

(b) Peierls lattice thermal conductivity w.r.t grain size

Phonon lifetime and scattering rates

../../_images/fig_lifetime4139.png

(a) Phonon lifetime due to phonon-phonon scattering

../../_images/fig_scat_rates4138.png

(b) Phonon scattering rates

Cumulative and spectral thermal conductivity

../../_images/fig_cumu_frequency4139.png

(a) Spectral and cumulative thermal conductivity w.r.t frequency

../../_images/fig_cumu_mfp4138.png

(b) Spectral and cumulative thermal conductivity w.r.t MFP

Force constants

../../_images/fig_fc210094.png

(a) Force constants w.r.t atomic distance

Summary

../../_images/fig_kappa7878.png

(a) Temperature-dependent lattice thermal conductivity

../../_images/fig_times17865.png

(b) Computation time