mp-4618-2/Rb2SeO4/anharm

Equation of state

../../_images/fig_bm5055.png

(a) Equation of state

Harmonic properties

../../_images/fig_bandos_pr10091.png

(a) Phonon dispersion with participation ratio and DOS

../../_images/fig_thermo10091.png

(b) Thermodynamic properties

Grüneisen parameters

../../_images/fig_gru_all4062.png

(a) Grüneisen parameters

../../_images/fig_gruneisen4062.png

(b) Phonon dispersion with Grüneisen parameters

Thermal conductivity

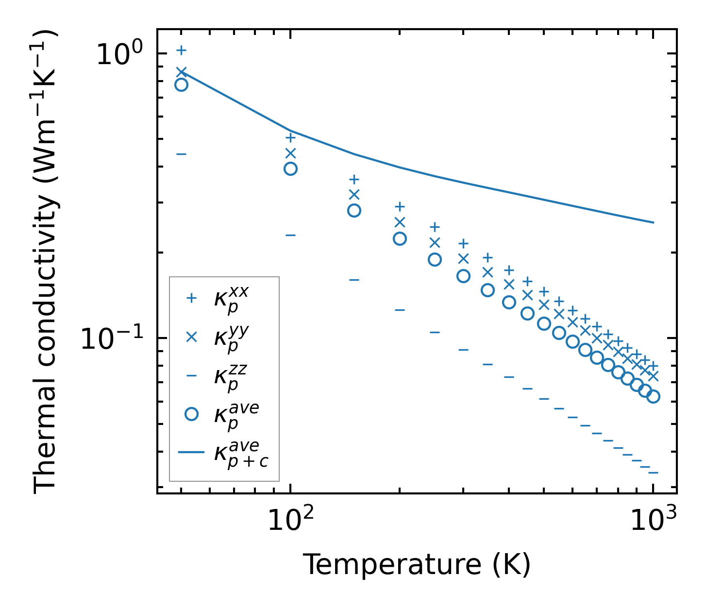
3-phonon (LASSO) — q-mesh: 9x11x6, supercell: 2x2x1

../../_images/fig_kappa7663.png

(a) Temperature-dependent lattice thermal conductivity

../../_images/fig_kappa_vs_grain_size4116.png

(b) Peierls lattice thermal conductivity w.r.t grain size

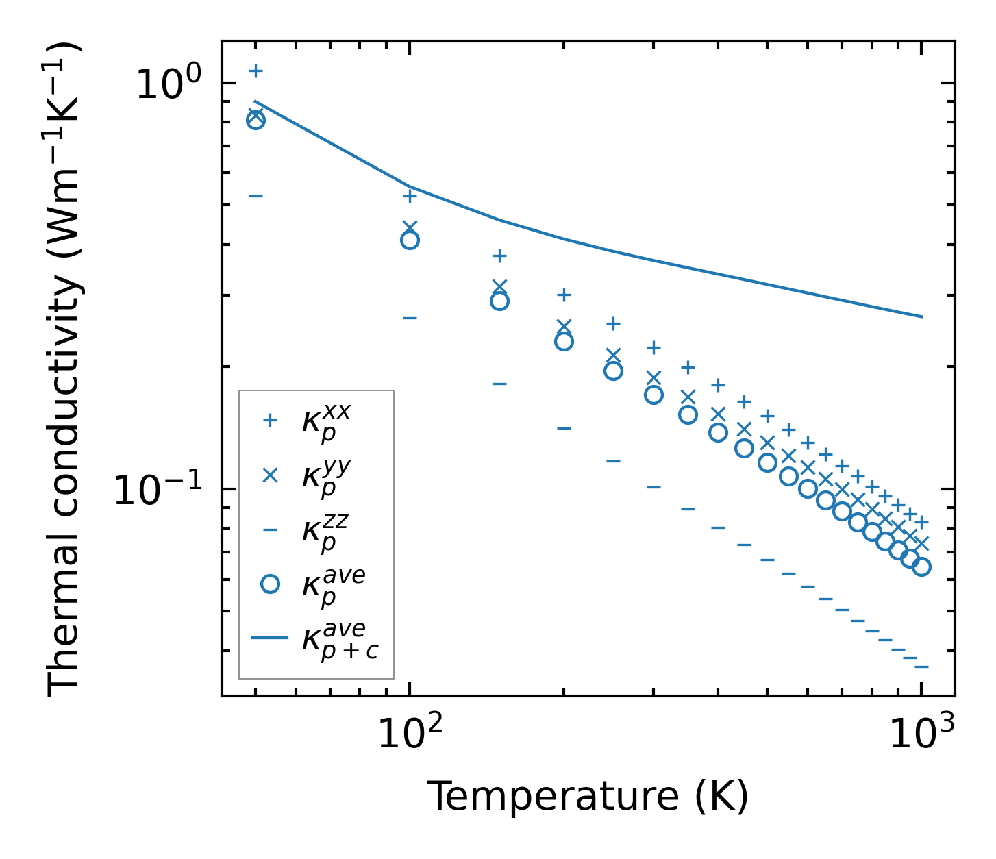
3-phonon (LASSO), supercell 2x2x2 — q-mesh: 9x11x6, supercell: 2x2x2

../../_images/fig_kappa7664.png

(a) Temperature-dependent lattice thermal conductivity

../../_images/fig_kappa_vs_grain_size4117.png

(b) Peierls lattice thermal conductivity w.r.t grain size

Phonon lifetime and scattering rates

../../_images/fig_lifetime4024.png

(a) Phonon lifetime due to phonon-phonon scattering

../../_images/fig_scat_rates4023.png

(b) Phonon scattering rates

Cumulative and spectral thermal conductivity

../../_images/fig_cumu_frequency4024.png

(a) Spectral and cumulative thermal conductivity w.r.t frequency

../../_images/fig_cumu_mfp4023.png

(b) Spectral and cumulative thermal conductivity w.r.t MFP

Force constants

../../_images/fig_fc29843.png

(a) Force constants w.r.t atomic distance

Summary

../../_images/fig_kappa7665.png

(a) Temperature-dependent lattice thermal conductivity

../../_images/fig_times17501.png

(b) Computation time