mp-4350-2/La2Se3O9/anharm

Equation of state

../../_images/fig_bm5210.png

(a) Equation of state

Harmonic properties

../../_images/fig_bandos_pr10386.png

(a) Phonon dispersion with participation ratio and DOS

../../_images/fig_bandos14331.png

(b) Phonon dispersion and DOS

../../_images/fig_thermo10386.png

(c) Thermodynamic properties

Grüneisen parameters

../../_images/fig_gru_all4200.png

(a) Grüneisen parameters

../../_images/fig_gruneisen4200.png

(b) Phonon dispersion with Grüneisen parameters

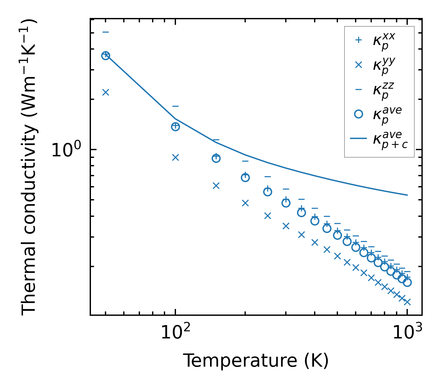
Thermal conductivity

3-phonon (LASSO), supercell 2x1x2 — q-mesh: 8x5x10, supercell: 2x1x2

../../_images/fig_kappa7918.png

(a) Temperature-dependent lattice thermal conductivity

../../_images/fig_kappa_vs_grain_size4254.png

(b) Peierls lattice thermal conductivity w.r.t grain size

Phonon lifetime and scattering rates

../../_images/fig_lifetime4160.png

(a) Phonon lifetime due to phonon-phonon scattering

../../_images/fig_scat_rates4159.png

(b) Phonon scattering rates

Cumulative and spectral thermal conductivity

../../_images/fig_cumu_frequency4160.png

(a) Spectral and cumulative thermal conductivity w.r.t frequency

../../_images/fig_cumu_mfp4159.png

(b) Spectral and cumulative thermal conductivity w.r.t MFP

Force constants

../../_images/fig_fc210129.png

(a) Force constants w.r.t atomic distance

Summary

../../_images/fig_times17922.png

(a) Computation time