mp-4274-2/SrTeO4/anharm

Equation of state

../../_images/fig_bm5200.png

(a) Equation of state

Harmonic properties

../../_images/fig_bandos_pr10367.png

(a) Phonon dispersion with participation ratio and DOS

../../_images/fig_thermo10367.png

(b) Thermodynamic properties

Grüneisen parameters

../../_images/fig_gru_all4189.png

(a) Grüneisen parameters

../../_images/fig_gruneisen4189.png

(b) Phonon dispersion with Grüneisen parameters

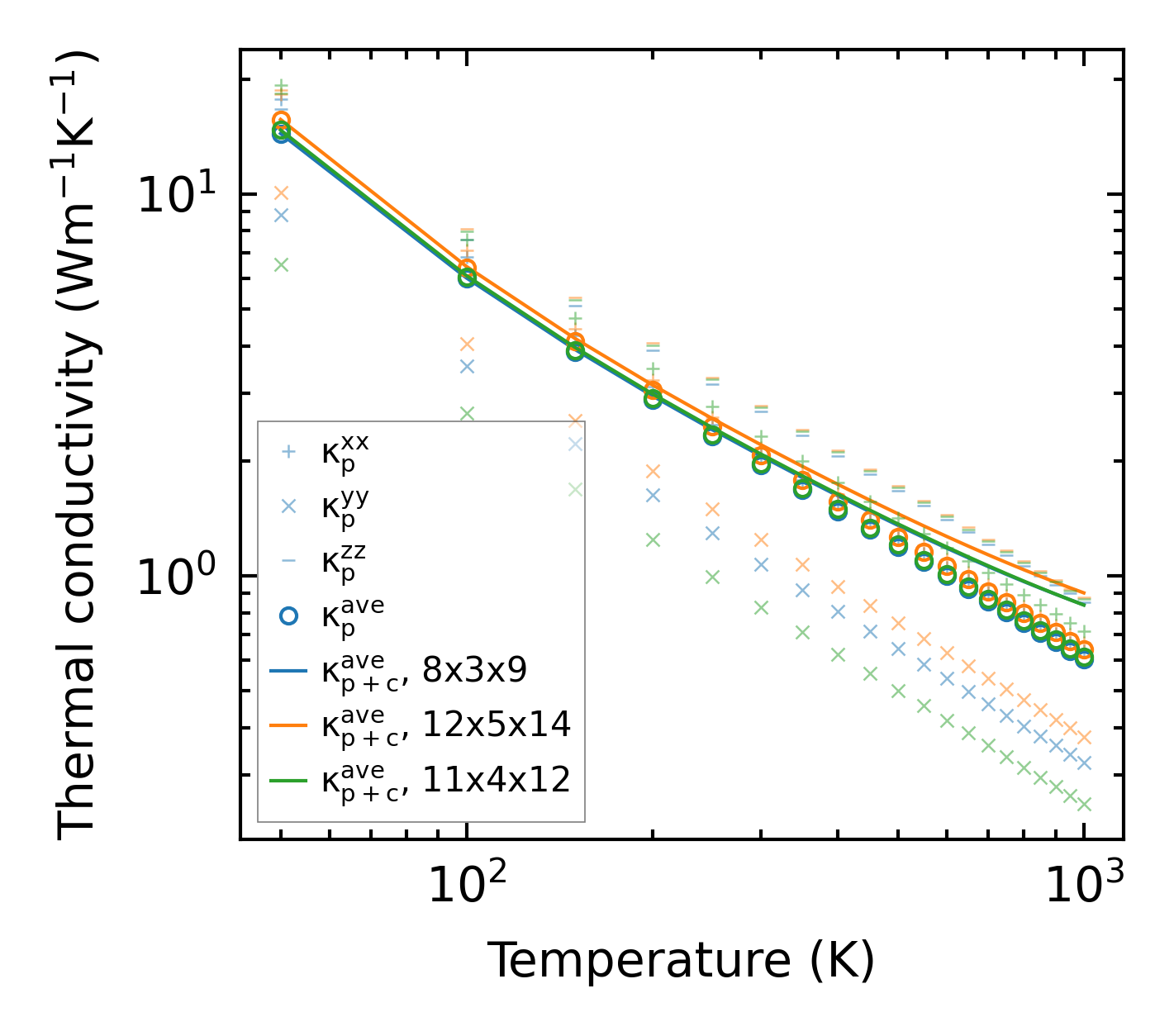
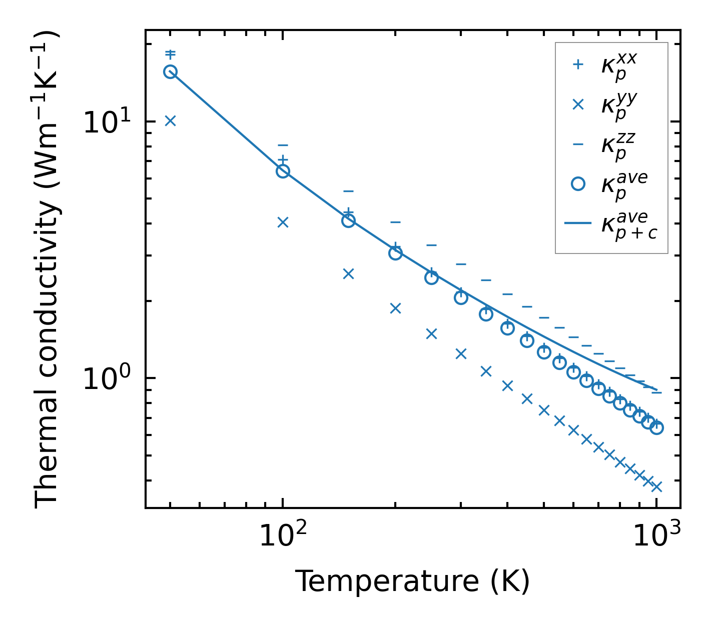
Thermal conductivity

3-phonon (LASSO) — q-mesh: 12x5x14, supercell: 2x1x3

../../_images/fig_kappa7896.png

(a) Temperature-dependent lattice thermal conductivity

../../_images/fig_kappa_vs_grain_size4243.png

(b) Peierls lattice thermal conductivity w.r.t grain size

Phonon lifetime and scattering rates

../../_images/fig_lifetime4149.png

(a) Phonon lifetime due to phonon-phonon scattering

../../_images/fig_scat_rates4148.png

(b) Phonon scattering rates

Cumulative and spectral thermal conductivity

../../_images/fig_cumu_frequency4149.png

(a) Spectral and cumulative thermal conductivity w.r.t frequency

../../_images/fig_cumu_mfp4148.png

(b) Spectral and cumulative thermal conductivity w.r.t MFP

Force constants

../../_images/fig_fc210112.png

(a) Force constants w.r.t atomic distance

Summary

../../_images/fig_kappa7897.png

(a) Temperature-dependent lattice thermal conductivity

../../_images/fig_times17898.png

(b) Computation time