mp-4891/HoAlO3/anharm

Harmonic properties

../../_images/fig_bandos_pr10164.png

(a) Phonon dispersion with participation ratio and DOS

../../_images/fig_thermo10164.png

(b) Thermodynamic properties

Grüneisen parameters

../../_images/fig_gru_all4101.png

(a) Grüneisen parameters

../../_images/fig_gruneisen4101.png

(b) Phonon dispersion with Grüneisen parameters

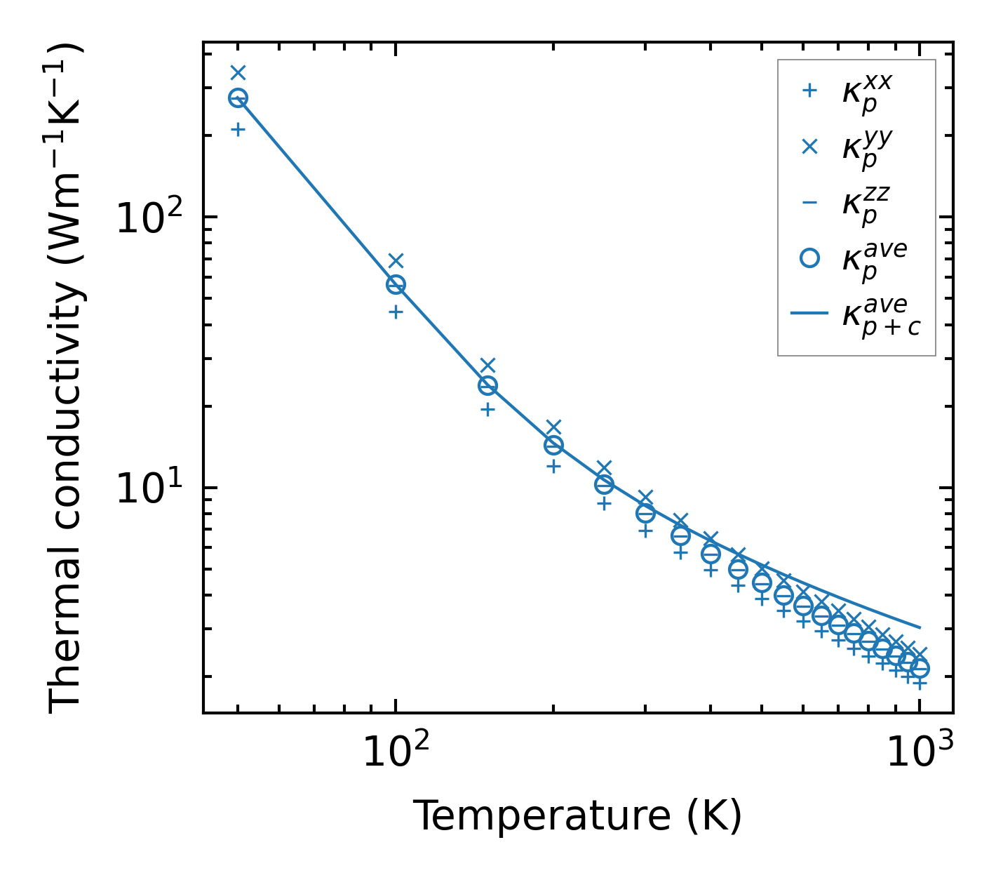
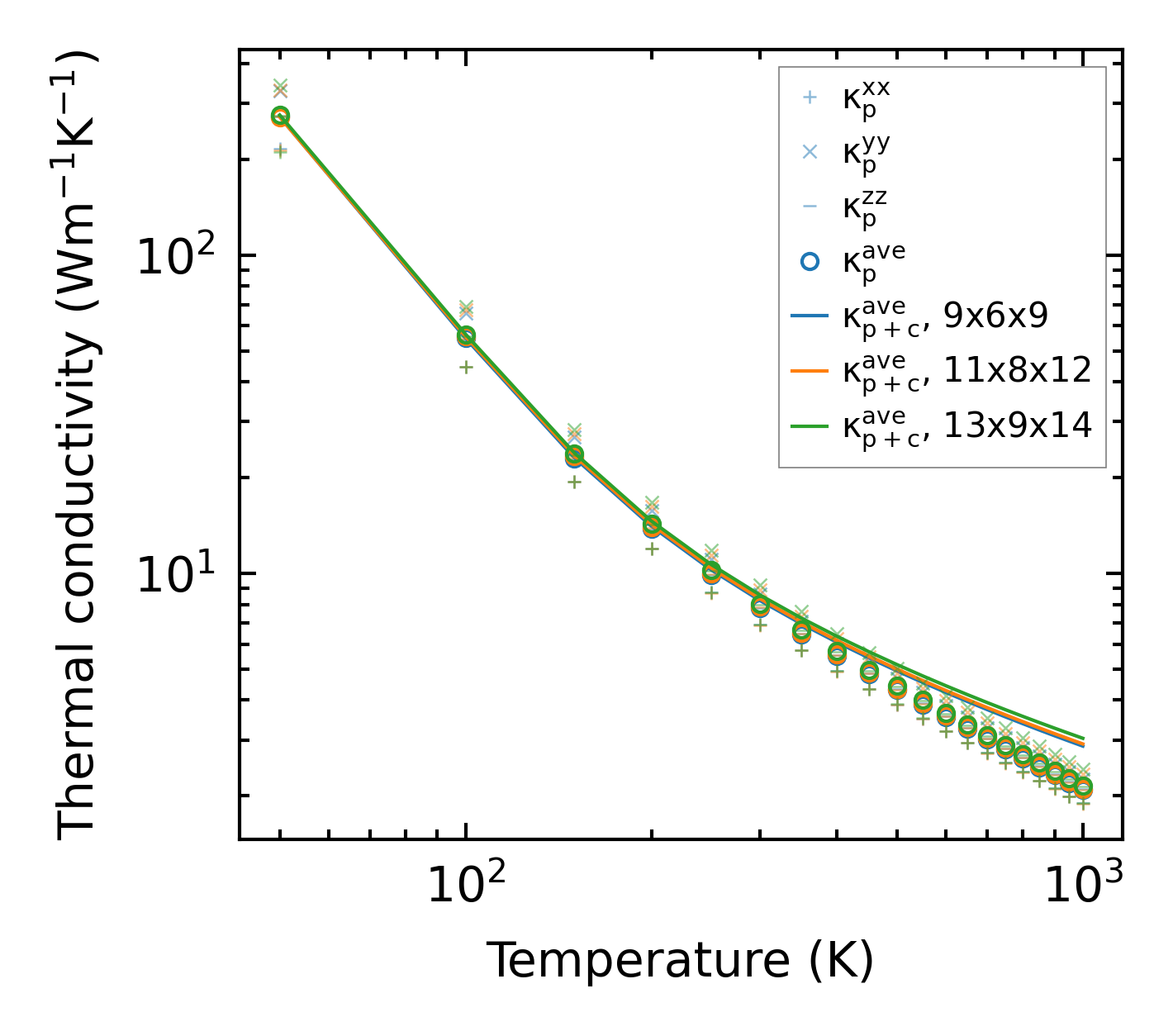
Thermal conductivity

3-phonon (LASSO) — q-mesh: 13x9x14, supercell: 2x1x2

../../_images/fig_kappa7734.png

(a) Temperature-dependent lattice thermal conductivity

../../_images/fig_kappa_vs_grain_size4156.png

(b) Peierls lattice thermal conductivity w.r.t grain size

Phonon lifetime and scattering rates

../../_images/fig_lifetime4063.png

(a) Phonon lifetime due to phonon-phonon scattering

../../_images/fig_scat_rates4062.png

(b) Phonon scattering rates

Cumulative and spectral thermal conductivity

../../_images/fig_cumu_frequency4063.png

(a) Spectral and cumulative thermal conductivity w.r.t frequency

../../_images/fig_cumu_mfp4062.png

(b) Spectral and cumulative thermal conductivity w.r.t MFP

Force constants

../../_images/fig_fc29916.png

(a) Force constants w.r.t atomic distance

Summary

../../_images/fig_kappa7735.png

(a) Temperature-dependent lattice thermal conductivity

../../_images/fig_times17611.png

(b) Computation time