mp-4727-2/BaSb2Se4/anharm

Equation of state

../../_images/fig_bm5077.png

(a) Equation of state

Harmonic properties

../../_images/fig_bandos_pr10125.png

(a) Phonon dispersion with participation ratio and DOS

../../_images/fig_bandos14069.png

(b) Phonon dispersion and DOS

../../_images/fig_thermo10125.png

(c) Thermodynamic properties

Grüneisen parameters

../../_images/fig_gru_all4077.png

(a) Grüneisen parameters

../../_images/fig_gruneisen4077.png

(b) Phonon dispersion with Grüneisen parameters

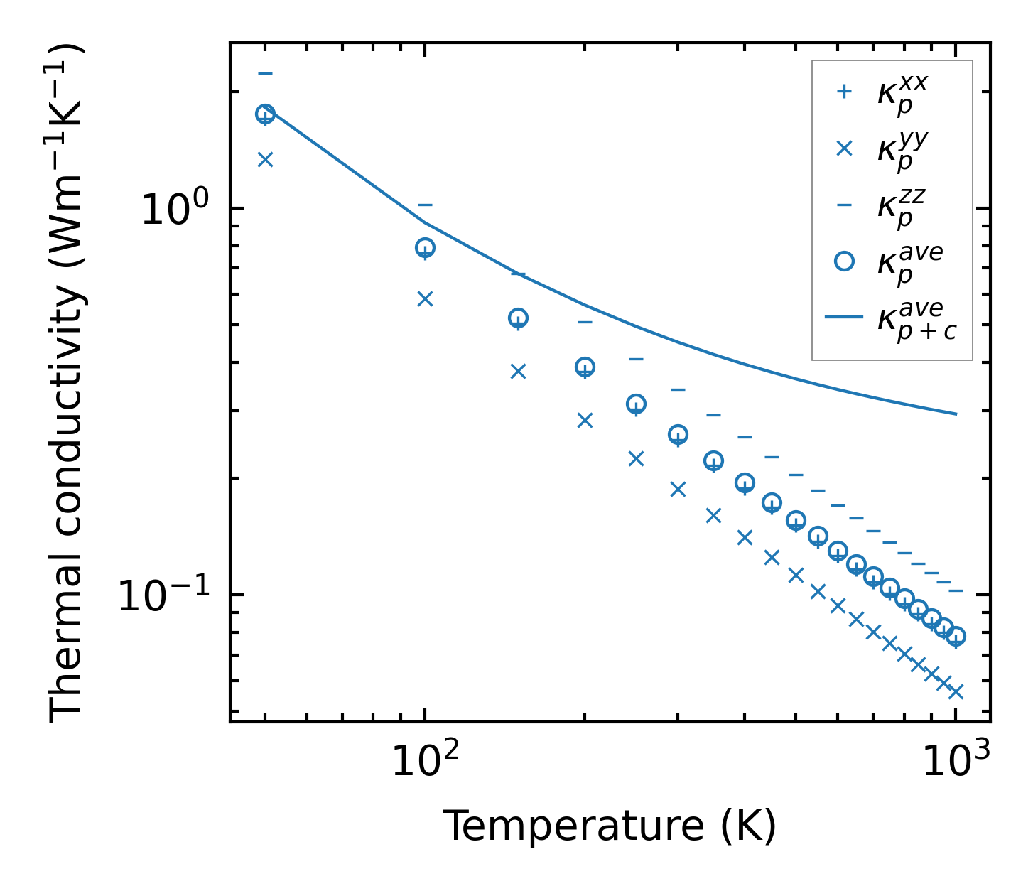
Thermal conductivity

3-phonon (LASSO), supercell 2x1x2 — q-mesh: 9x3x6, supercell: 2x1x2

../../_images/fig_kappa7690.png

(a) Temperature-dependent lattice thermal conductivity

../../_images/fig_kappa_vs_grain_size4132.png

(b) Peierls lattice thermal conductivity w.r.t grain size

Phonon lifetime and scattering rates

../../_images/fig_lifetime4039.png

(a) Phonon lifetime due to phonon-phonon scattering

../../_images/fig_scat_rates4038.png

(b) Phonon scattering rates

Cumulative and spectral thermal conductivity

../../_images/fig_cumu_frequency4039.png

(a) Spectral and cumulative thermal conductivity w.r.t frequency

../../_images/fig_cumu_mfp4038.png

(b) Spectral and cumulative thermal conductivity w.r.t MFP

Force constants

../../_images/fig_fc29877.png

(a) Force constants w.r.t atomic distance

Summary

../../_images/fig_times17553.png

(a) Computation time