mp-4816/LaGaS3/anharm

Harmonic properties

../../_images/fig_bandos_pr10145.png

(a) Phonon dispersion with participation ratio and DOS

../../_images/fig_thermo10145.png

(b) Thermodynamic properties

Grüneisen parameters

../../_images/fig_gru_all4088.png

(a) Grüneisen parameters

../../_images/fig_gruneisen4088.png

(b) Phonon dispersion with Grüneisen parameters

Thermal conductivity

3-phonon (LASSO) — q-mesh: 7x6x5, supercell: 2x1x1

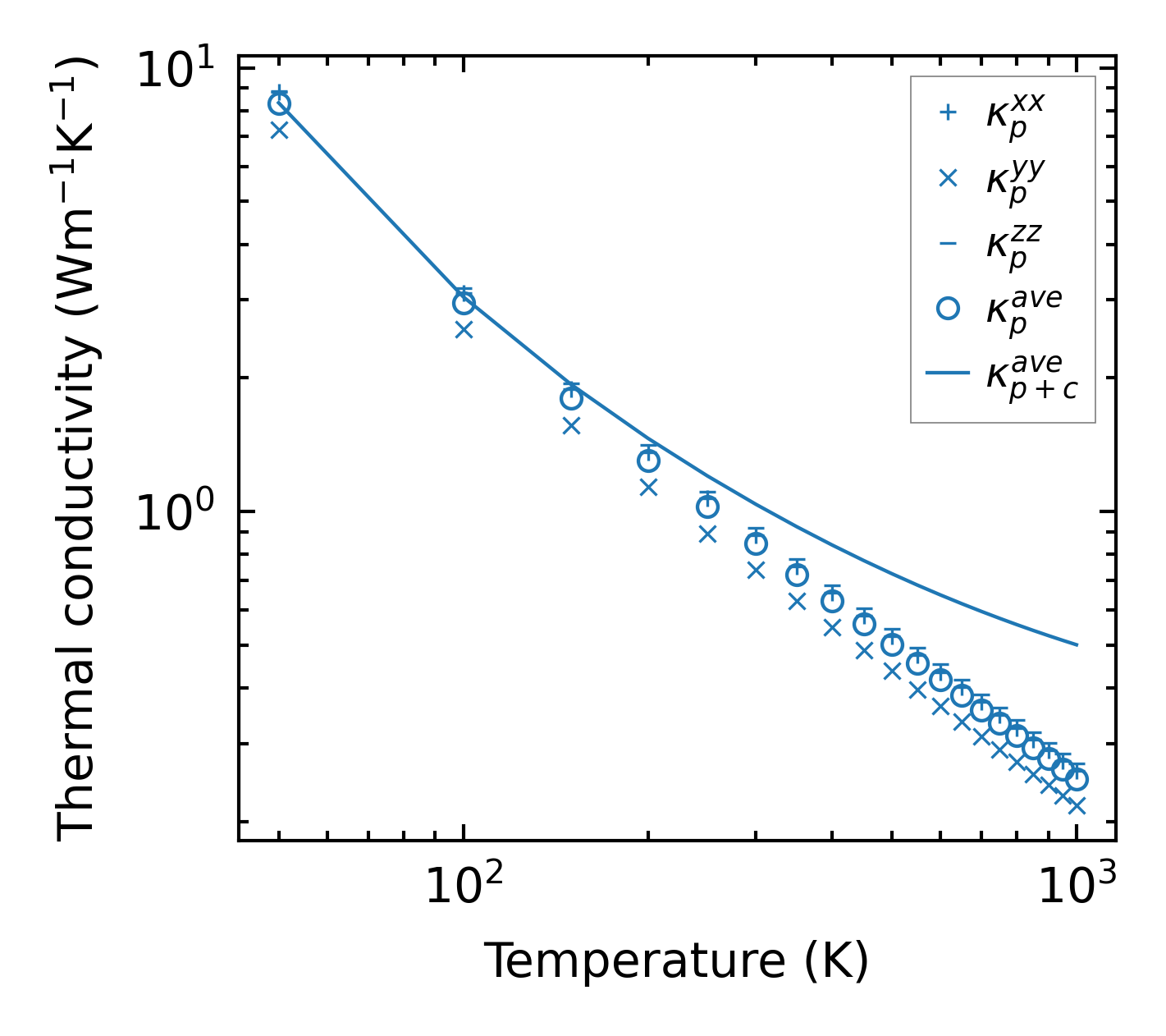
../../_images/fig_kappa7709.png

(a) Temperature-dependent lattice thermal conductivity

../../_images/fig_kappa_vs_grain_size4143.png

(b) Peierls lattice thermal conductivity w.r.t grain size

Phonon lifetime and scattering rates

../../_images/fig_lifetime4050.png

(a) Phonon lifetime due to phonon-phonon scattering

../../_images/fig_scat_rates4049.png

(b) Phonon scattering rates

Cumulative and spectral thermal conductivity

../../_images/fig_cumu_frequency4050.png

(a) Spectral and cumulative thermal conductivity w.r.t frequency

../../_images/fig_cumu_mfp4049.png

(b) Spectral and cumulative thermal conductivity w.r.t MFP

Force constants

../../_images/fig_fc29897.png

(a) Force constants w.r.t atomic distance

Summary

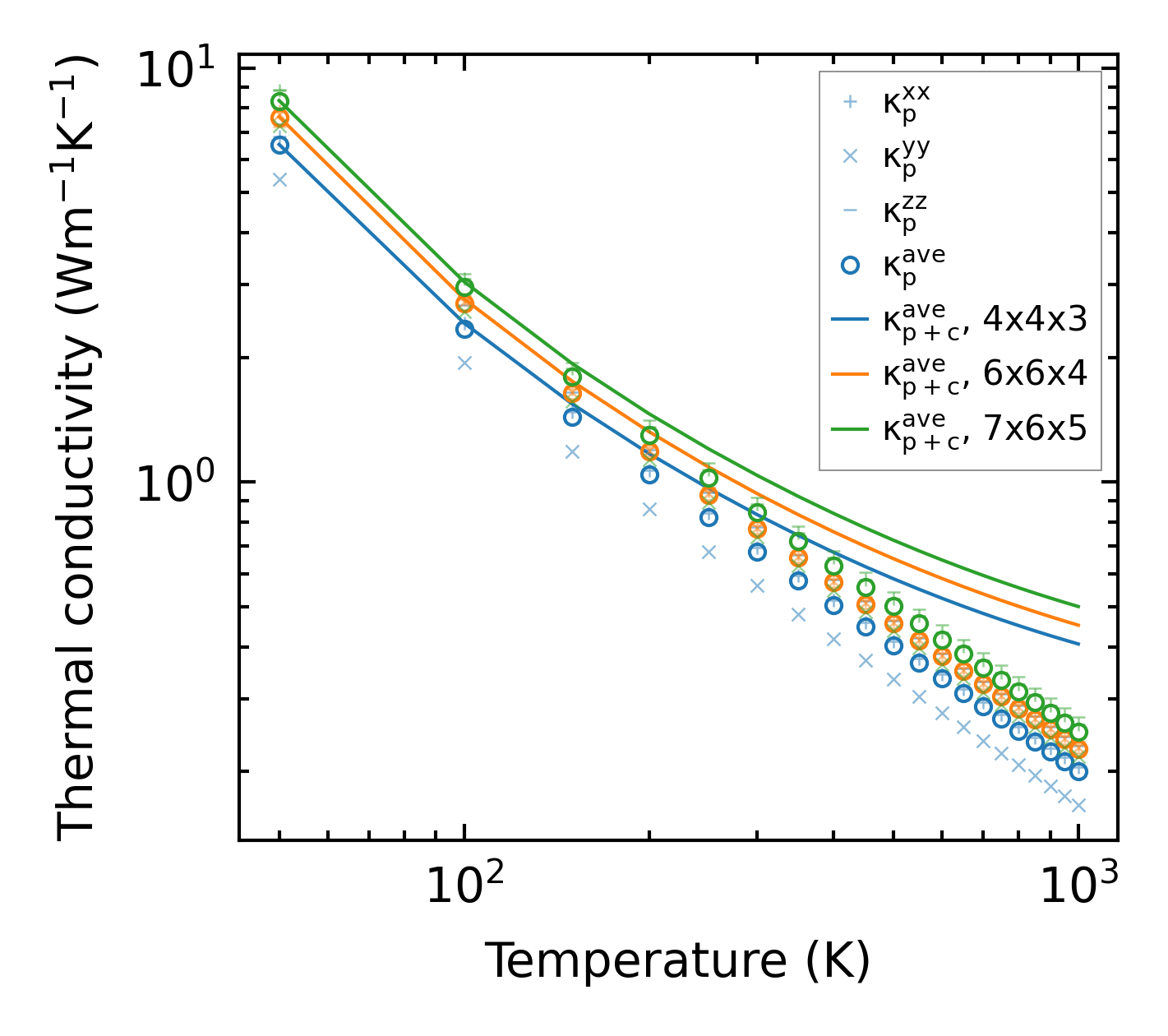
../../_images/fig_kappa7710.png

(a) Temperature-dependent lattice thermal conductivity

../../_images/fig_times17585.png

(b) Computation time