mp-4764/Pr2SeO2/anharm

Harmonic properties

../../_images/fig_bandos_pr10137.png

(a) Phonon dispersion with participation ratio and DOS

../../_images/fig_thermo10137.png

(b) Thermodynamic properties

Grüneisen parameters

../../_images/fig_gru_all4082.png

(a) Grüneisen parameters

../../_images/fig_gruneisen4082.png

(b) Phonon dispersion with Grüneisen parameters

Thermal conductivity

3-phonon (LASSO) — q-mesh: 18x18x10, supercell: 3x3x2

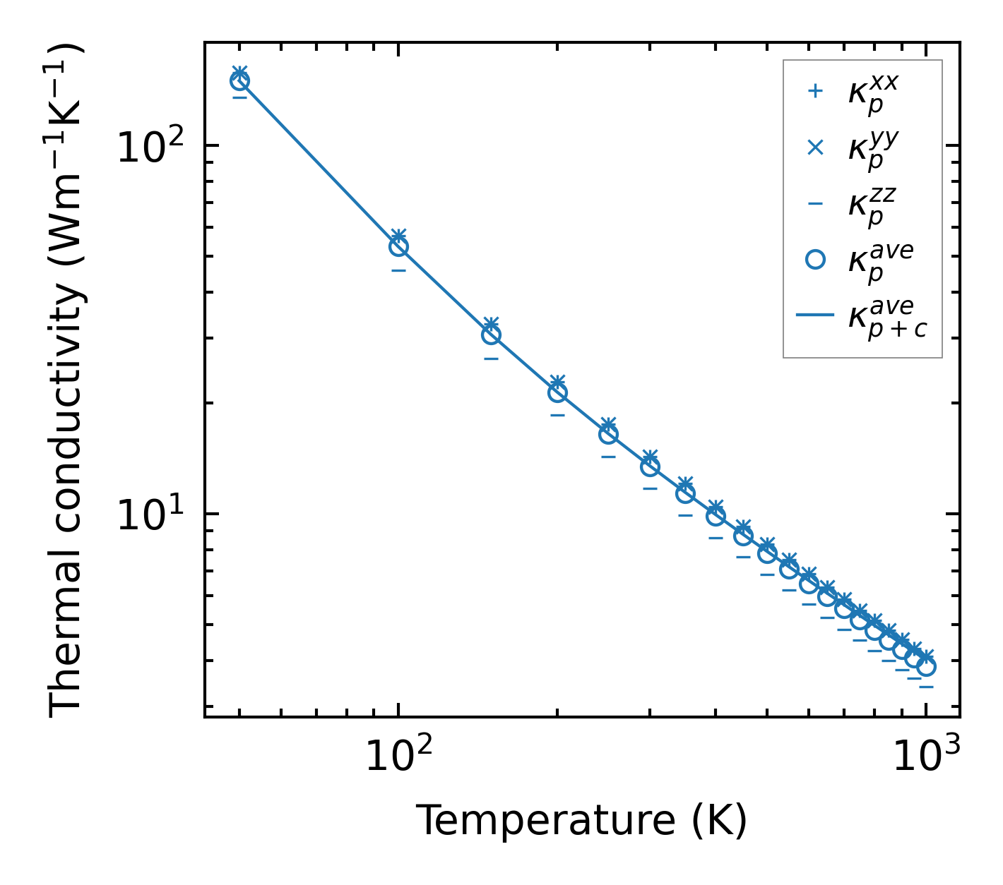
../../_images/fig_kappa7698.png

(a) Temperature-dependent lattice thermal conductivity

../../_images/fig_kappa_vs_grain_size4137.png

(b) Peierls lattice thermal conductivity w.r.t grain size

Phonon lifetime and scattering rates

../../_images/fig_lifetime4044.png

(a) Phonon lifetime due to phonon-phonon scattering

../../_images/fig_scat_rates4043.png

(b) Phonon scattering rates

Cumulative and spectral thermal conductivity

../../_images/fig_cumu_frequency4044.png

(a) Spectral and cumulative thermal conductivity w.r.t frequency

../../_images/fig_cumu_mfp4043.png

(b) Spectral and cumulative thermal conductivity w.r.t MFP

Force constants

../../_images/fig_fc29889.png

(a) Force constants w.r.t atomic distance

Summary

../../_images/fig_kappa7699.png

(a) Temperature-dependent lattice thermal conductivity

../../_images/fig_times17572.png

(b) Computation time