mp-4647/K3Cu8Se6/anharm

Harmonic properties

../../_images/fig_bandos_pr10099.png

(a) Phonon dispersion with participation ratio and DOS

../../_images/fig_thermo10099.png

(b) Thermodynamic properties

Grüneisen parameters

../../_images/fig_gru_all4070.png

(a) Grüneisen parameters

../../_images/fig_gruneisen4070.png

(b) Phonon dispersion with Grüneisen parameters

Thermal conductivity

3-phonon (LASSO) — q-mesh: 10x10x9, supercell: 1x3x1

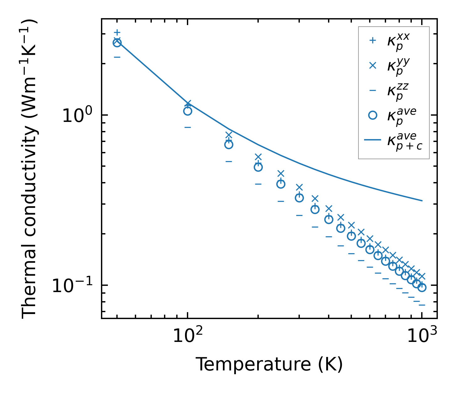
../../_images/fig_kappa7678.png

(a) Temperature-dependent lattice thermal conductivity

../../_images/fig_kappa_vs_grain_size4125.png

(b) Peierls lattice thermal conductivity w.r.t grain size

Phonon lifetime and scattering rates

../../_images/fig_lifetime4032.png

(a) Phonon lifetime due to phonon-phonon scattering

../../_images/fig_scat_rates4031.png

(b) Phonon scattering rates

Cumulative and spectral thermal conductivity

../../_images/fig_cumu_frequency4032.png

(a) Spectral and cumulative thermal conductivity w.r.t frequency

../../_images/fig_cumu_mfp4031.png

(b) Spectral and cumulative thermal conductivity w.r.t MFP

Force constants

../../_images/fig_fc29851.png

(a) Force constants w.r.t atomic distance

Summary

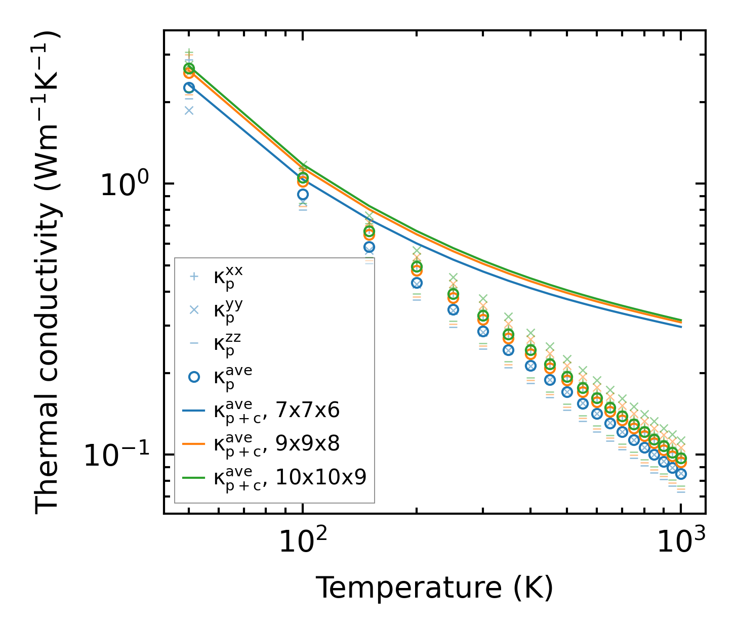
../../_images/fig_kappa7679.png

(a) Temperature-dependent lattice thermal conductivity

../../_images/fig_times17511.png

(b) Computation time