mp-4394/Pr2Sn2O7/anharm

Harmonic properties

../../_images/fig_bandos_pr10397.png

(a) Phonon dispersion with participation ratio and DOS

../../_images/fig_thermo10397.png

(b) Thermodynamic properties

Grüneisen parameters

../../_images/fig_gru_all4206.png

(a) Grüneisen parameters

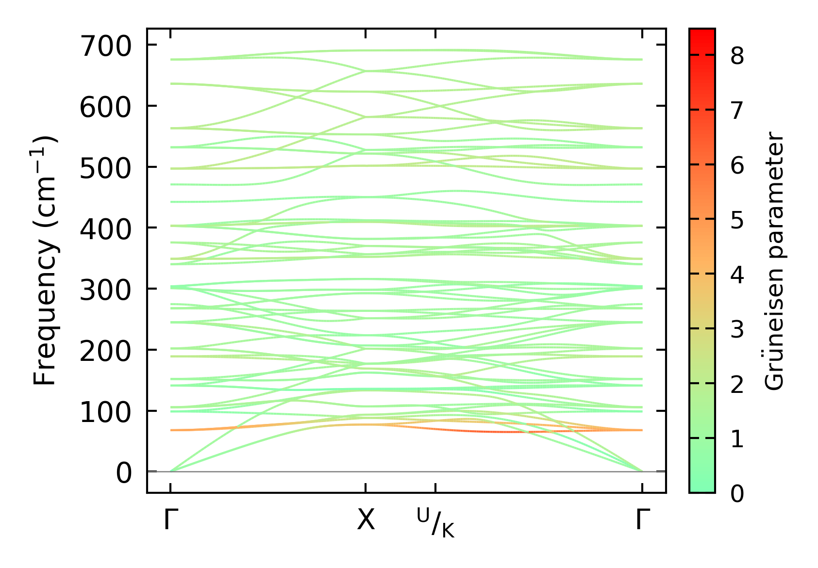
../../_images/fig_gruneisen4206.png

(b) Phonon dispersion with Grüneisen parameters

Thermal conductivity

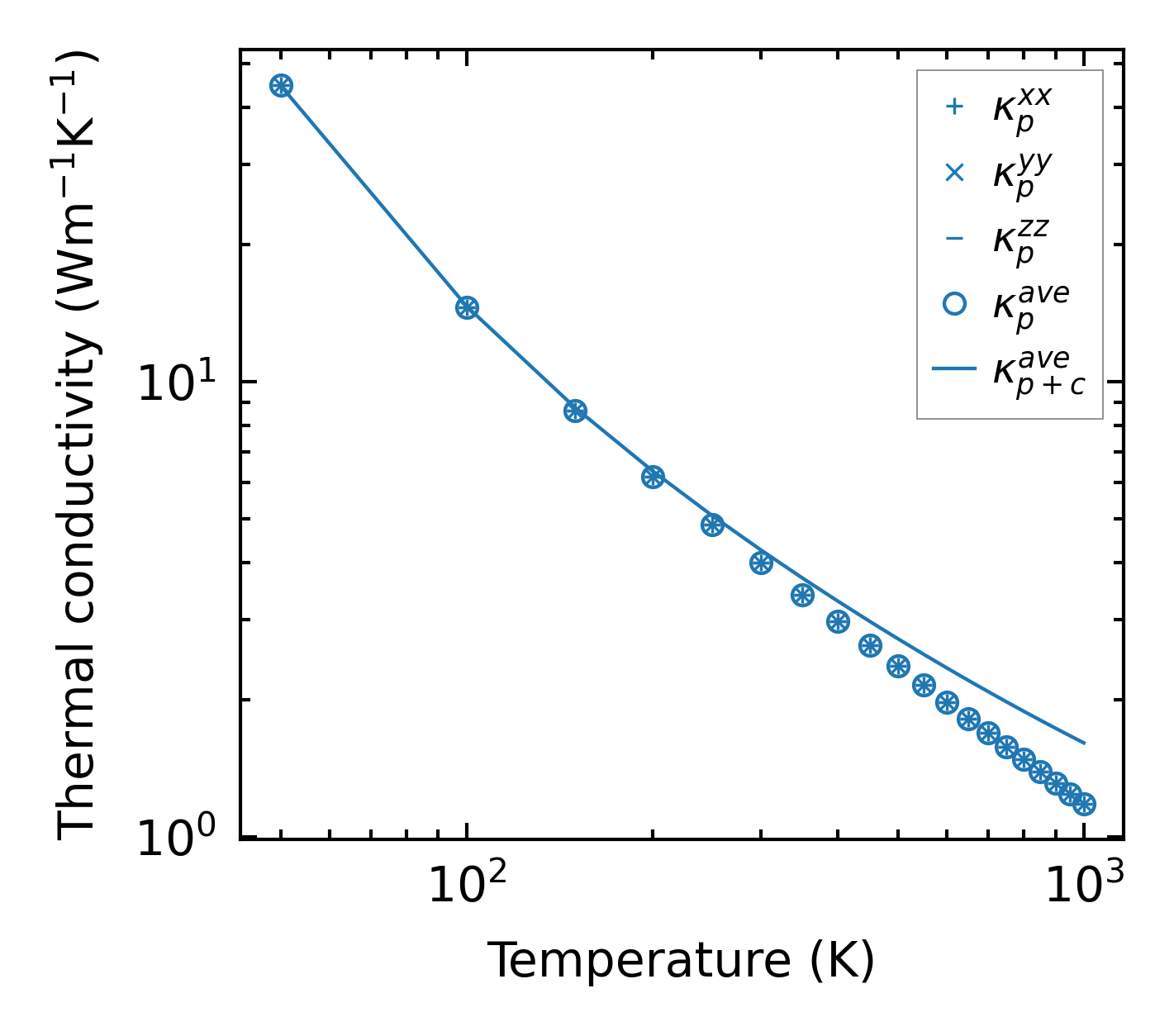
3-phonon (LASSO) — q-mesh: 10x10x10, supercell: 1x1x1

../../_images/fig_kappa7929.png

(a) Temperature-dependent lattice thermal conductivity

../../_images/fig_kappa_vs_grain_size4260.png

(b) Peierls lattice thermal conductivity w.r.t grain size

Phonon lifetime and scattering rates

../../_images/fig_lifetime4166.png

(a) Phonon lifetime due to phonon-phonon scattering

../../_images/fig_scat_rates4165.png

(b) Phonon scattering rates

Cumulative and spectral thermal conductivity

../../_images/fig_cumu_frequency4166.png

(a) Spectral and cumulative thermal conductivity w.r.t frequency

../../_images/fig_cumu_mfp4165.png

(b) Spectral and cumulative thermal conductivity w.r.t MFP

Force constants

../../_images/fig_fc210140.png

(a) Force constants w.r.t atomic distance

Summary

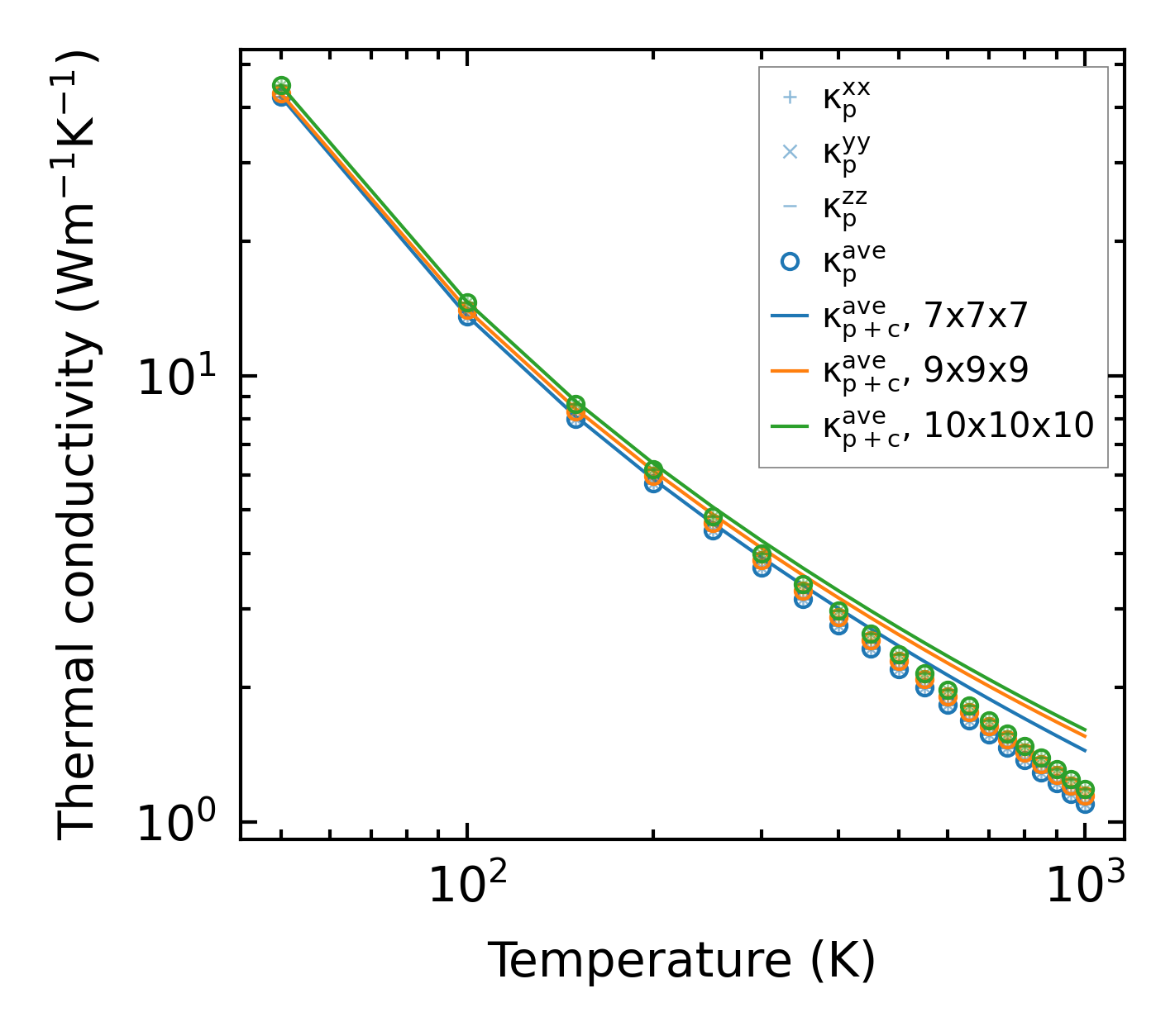
../../_images/fig_kappa7930.png

(a) Temperature-dependent lattice thermal conductivity

../../_images/fig_times17935.png

(b) Computation time