mp-4747-2/Ca2SnO4/anharm

Equation of state

../../_images/fig_bm5080.png

(a) Equation of state

Harmonic properties

../../_images/fig_bandos_pr10129.png

(a) Phonon dispersion with participation ratio and DOS

../../_images/fig_thermo10129.png

(b) Thermodynamic properties

Grüneisen parameters

../../_images/fig_gru_all4078.png

(a) Grüneisen parameters

../../_images/fig_gruneisen4078.png

(b) Phonon dispersion with Grüneisen parameters

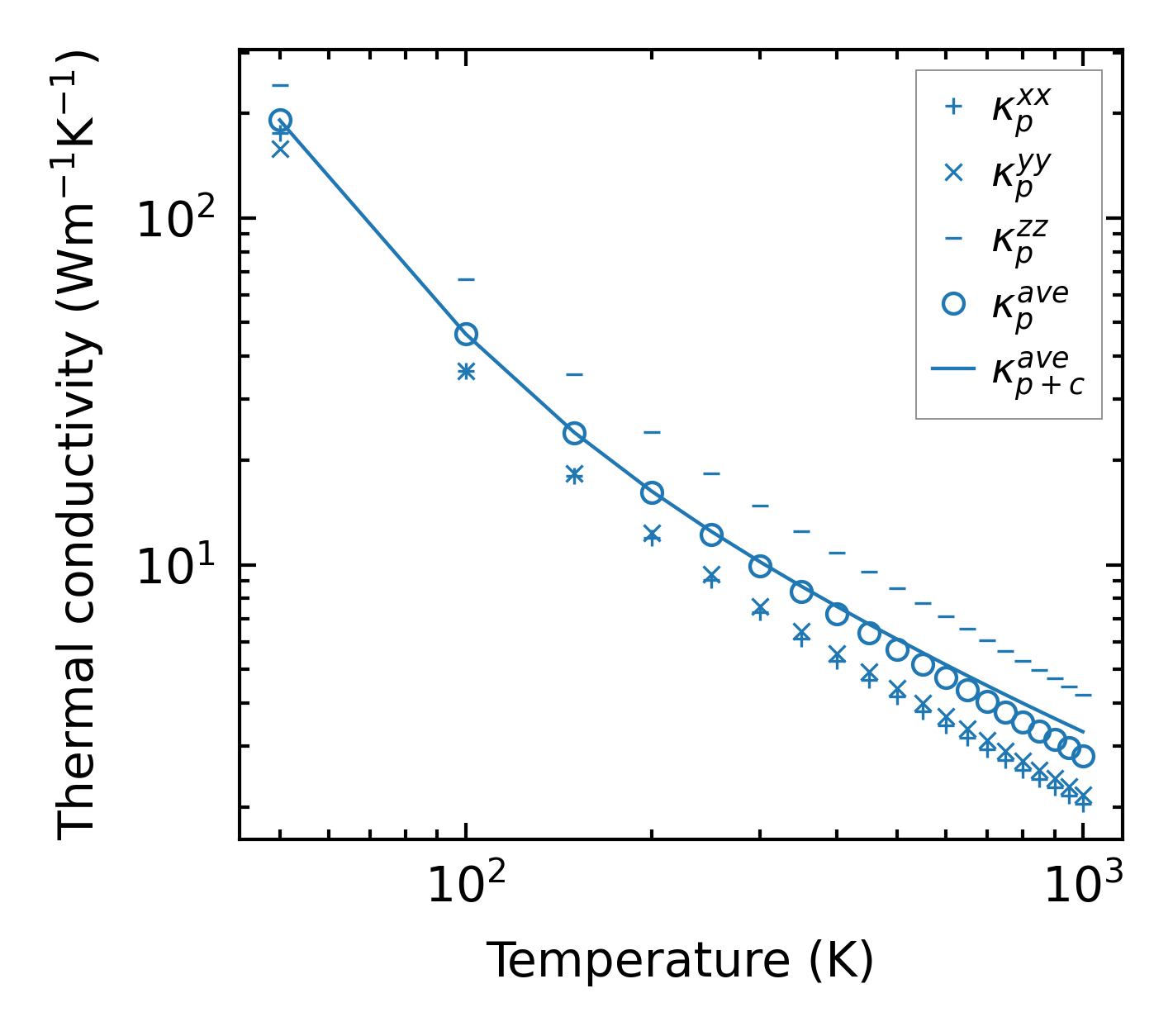
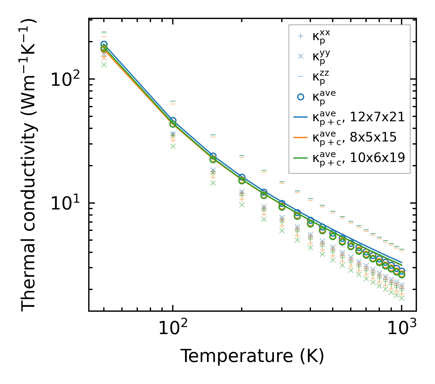
Thermal conductivity

3-phonon (LASSO) — q-mesh: 12x7x21, supercell: 2x1x3

../../_images/fig_kappa7691.png

(a) Temperature-dependent lattice thermal conductivity

../../_images/fig_kappa_vs_grain_size4133.png

(b) Peierls lattice thermal conductivity w.r.t grain size

Phonon lifetime and scattering rates

../../_images/fig_lifetime4040.png

(a) Phonon lifetime due to phonon-phonon scattering

../../_images/fig_scat_rates4039.png

(b) Phonon scattering rates

Cumulative and spectral thermal conductivity

../../_images/fig_cumu_frequency4040.png

(a) Spectral and cumulative thermal conductivity w.r.t frequency

../../_images/fig_cumu_mfp4039.png

(b) Spectral and cumulative thermal conductivity w.r.t MFP

Force constants

../../_images/fig_fc29881.png

(a) Force constants w.r.t atomic distance

Summary

../../_images/fig_kappa7692.png

(a) Temperature-dependent lattice thermal conductivity

../../_images/fig_times17558.png

(b) Computation time