mp-4757/KReO4/anharm

Harmonic properties

../../_images/fig_bandos_pr10133.png

(a) Phonon dispersion with participation ratio and DOS

../../_images/fig_thermo10133.png

(b) Thermodynamic properties

Grüneisen parameters

../../_images/fig_gru_all4080.png

(a) Grüneisen parameters

../../_images/fig_gruneisen4080.png

(b) Phonon dispersion with Grüneisen parameters

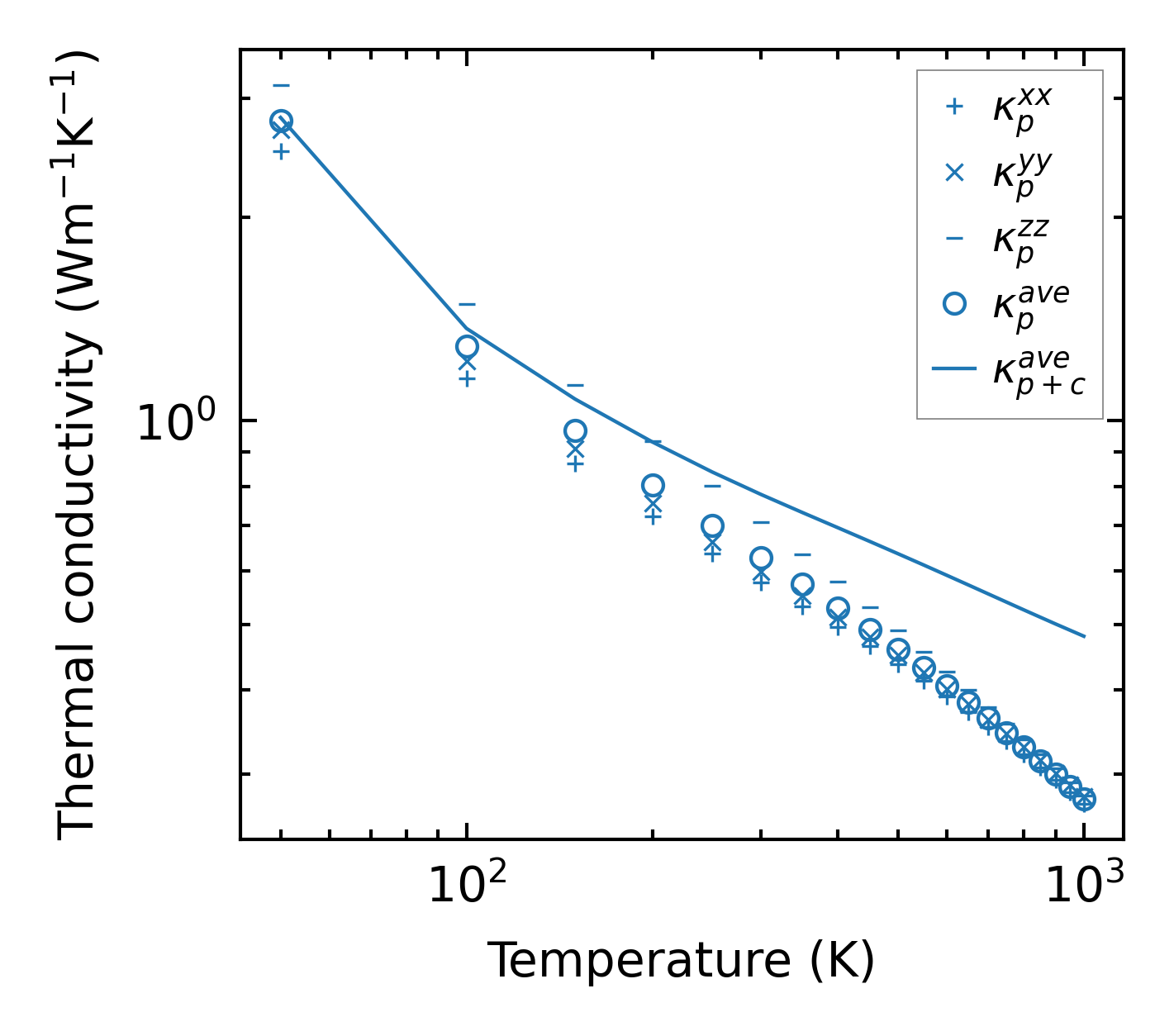
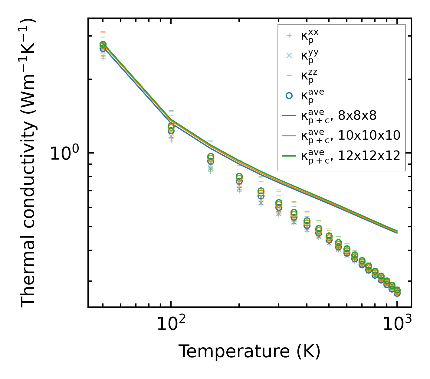
Thermal conductivity

3-phonon (LASSO) — q-mesh: 12x12x12, supercell: 2x2x1

../../_images/fig_kappa7695.png

(a) Temperature-dependent lattice thermal conductivity

../../_images/fig_kappa_vs_grain_size4135.png

(b) Peierls lattice thermal conductivity w.r.t grain size

Phonon lifetime and scattering rates

../../_images/fig_lifetime4042.png

(a) Phonon lifetime due to phonon-phonon scattering

../../_images/fig_scat_rates4041.png

(b) Phonon scattering rates

Cumulative and spectral thermal conductivity

../../_images/fig_cumu_frequency4042.png

(a) Spectral and cumulative thermal conductivity w.r.t frequency

../../_images/fig_cumu_mfp4041.png

(b) Spectral and cumulative thermal conductivity w.r.t MFP

Force constants

../../_images/fig_fc29885.png

(a) Force constants w.r.t atomic distance

Summary

../../_images/fig_kappa7696.png

(a) Temperature-dependent lattice thermal conductivity

../../_images/fig_times17564.png

(b) Computation time