mp-4287-2/Sr2SnO4/anharm

Equation of state

../../_images/fig_bm5202.png

(a) Equation of state

Harmonic properties

../../_images/fig_bandos_pr10373.png

(a) Phonon dispersion with participation ratio and DOS

../../_images/fig_thermo10373.png

(b) Thermodynamic properties

Grüneisen parameters

../../_images/fig_gru_all4195.png

(a) Grüneisen parameters

../../_images/fig_gruneisen4195.png

(b) Phonon dispersion with Grüneisen parameters

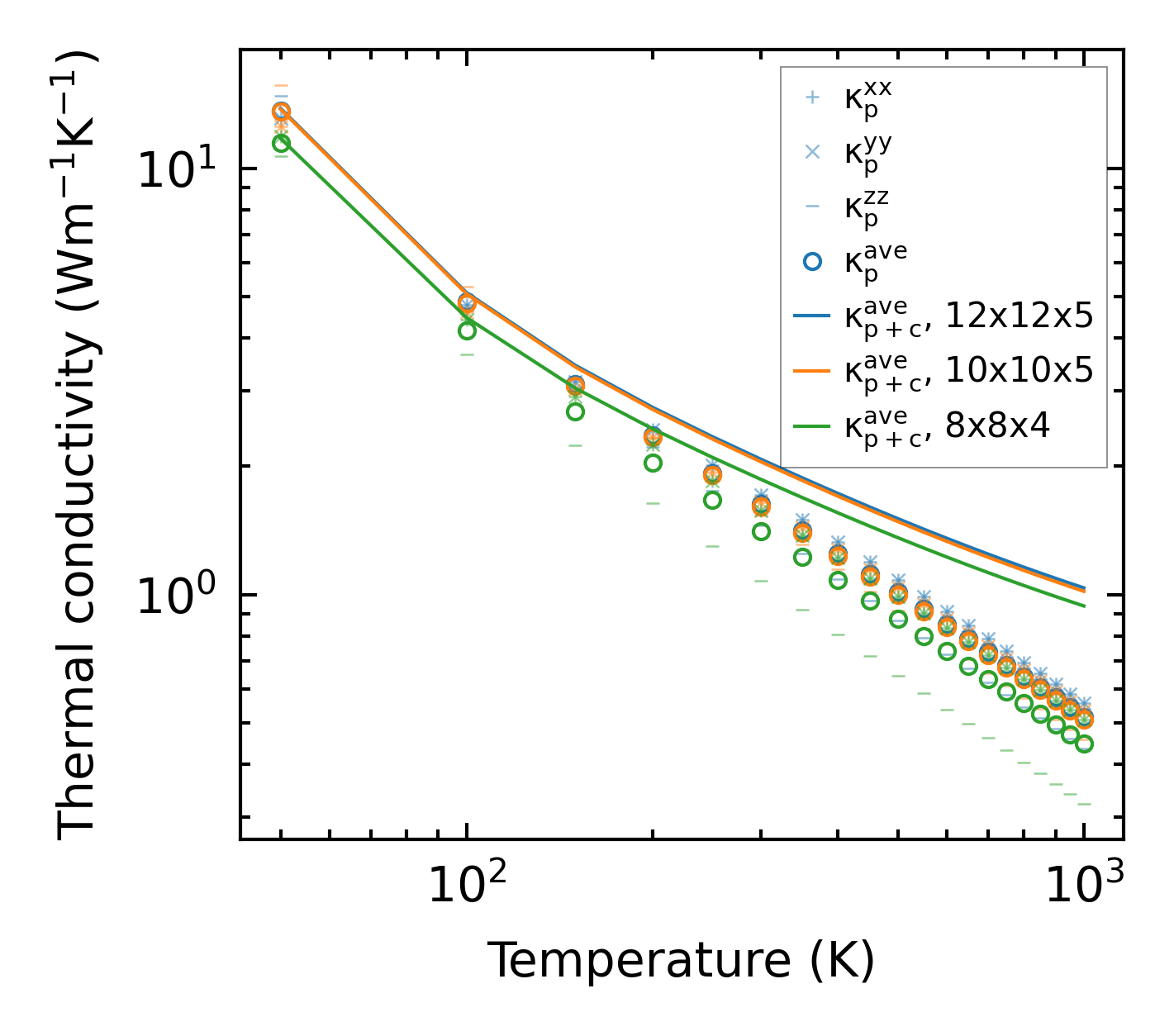
Thermal conductivity

3-phonon (LASSO) — q-mesh: 12x12x5, supercell: 2x2x1

../../_images/fig_kappa7908.png

(a) Temperature-dependent lattice thermal conductivity

../../_images/fig_kappa_vs_grain_size4249.png

(b) Peierls lattice thermal conductivity w.r.t grain size

Phonon lifetime and scattering rates

../../_images/fig_lifetime4155.png

(a) Phonon lifetime due to phonon-phonon scattering

../../_images/fig_scat_rates4154.png

(b) Phonon scattering rates

Cumulative and spectral thermal conductivity

../../_images/fig_cumu_frequency4155.png

(a) Spectral and cumulative thermal conductivity w.r.t frequency

../../_images/fig_cumu_mfp4154.png

(b) Spectral and cumulative thermal conductivity w.r.t MFP

Force constants

../../_images/fig_fc210117.png

(a) Force constants w.r.t atomic distance

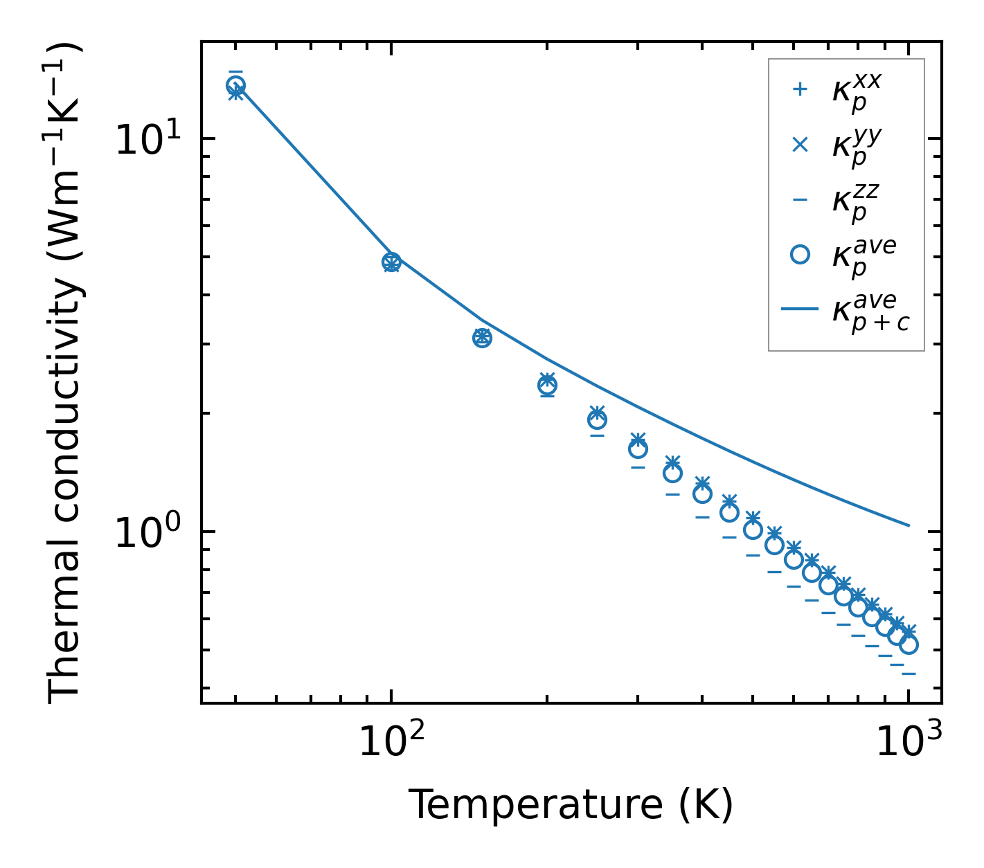
Summary

../../_images/fig_kappa7909.png

(a) Temperature-dependent lattice thermal conductivity

../../_images/fig_times17904.png

(b) Computation time