mp-4038/Sm3S3N/anharm

Harmonic properties

../../_images/fig_bandos_pr10311.png

(a) Phonon dispersion with participation ratio and DOS

../../_images/fig_thermo10311.png

(b) Thermodynamic properties

Grüneisen parameters

../../_images/fig_gru_all4157.png

(a) Grüneisen parameters

../../_images/fig_gruneisen4157.png

(b) Phonon dispersion with Grüneisen parameters

Thermal conductivity

3-phonon (LASSO) — q-mesh: 6x18x5, supercell: 1x4x1

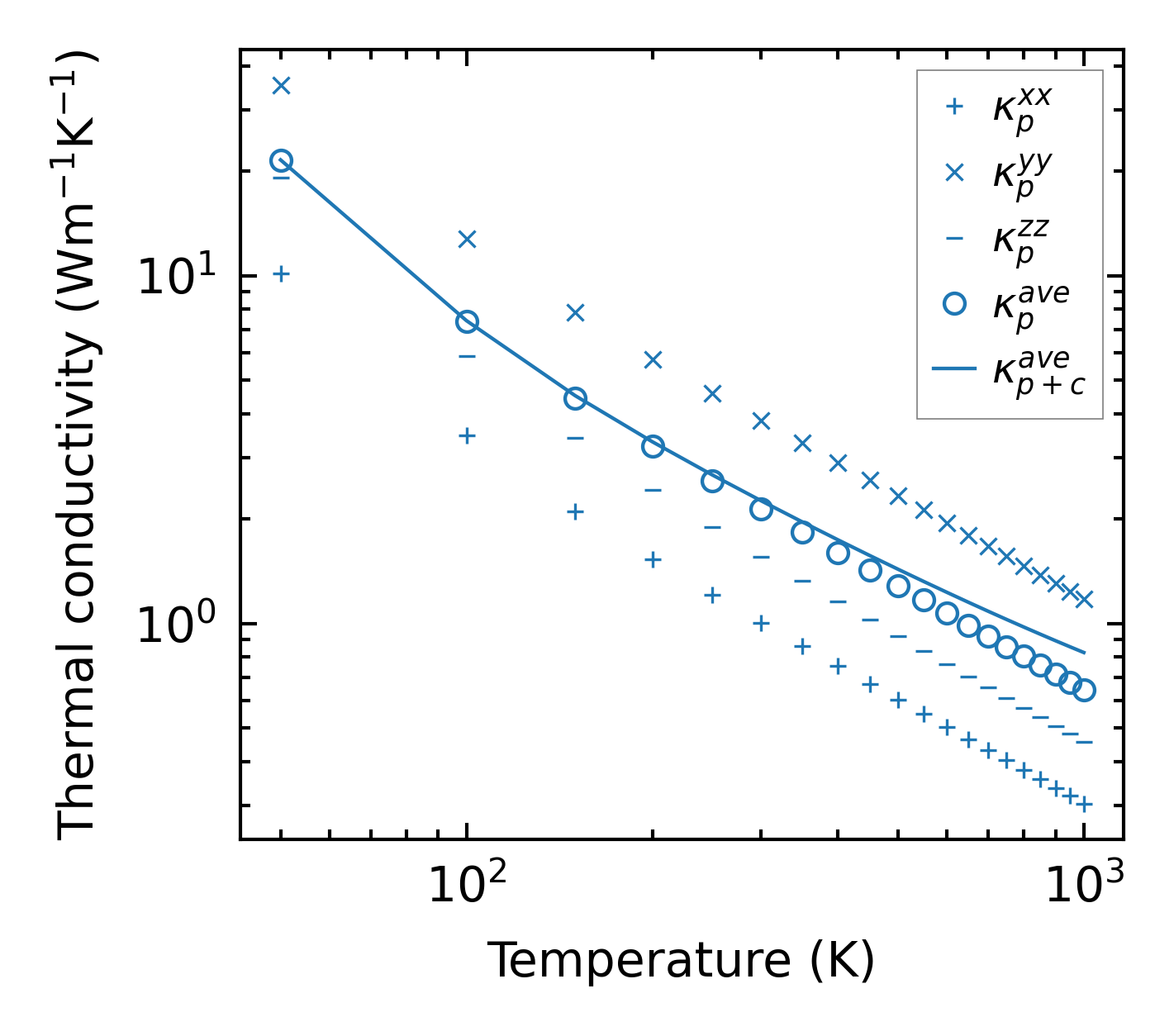
../../_images/fig_kappa7836.png

(a) Temperature-dependent lattice thermal conductivity

../../_images/fig_kappa_vs_grain_size4212.png

(b) Peierls lattice thermal conductivity w.r.t grain size

Phonon lifetime and scattering rates

../../_images/fig_lifetime4118.png

(a) Phonon lifetime due to phonon-phonon scattering

../../_images/fig_scat_rates4117.png

(b) Phonon scattering rates

Cumulative and spectral thermal conductivity

../../_images/fig_cumu_frequency4118.png

(a) Spectral and cumulative thermal conductivity w.r.t frequency

../../_images/fig_cumu_mfp4117.png

(b) Spectral and cumulative thermal conductivity w.r.t MFP

Force constants

../../_images/fig_fc210060.png

(a) Force constants w.r.t atomic distance

Summary

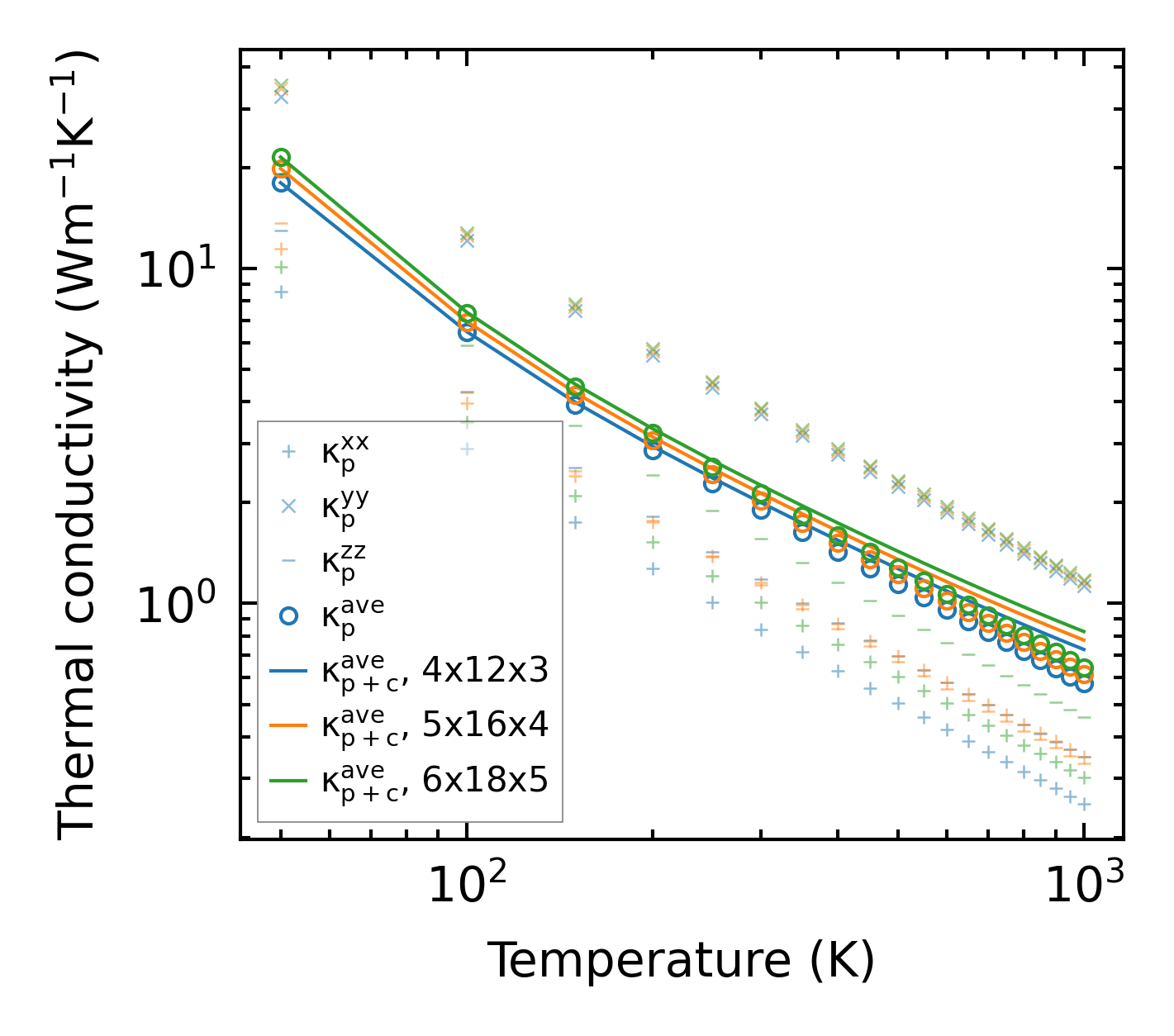
../../_images/fig_kappa7837.png

(a) Temperature-dependent lattice thermal conductivity

../../_images/fig_times17814.png

(b) Computation time