mp-4279-2/CaGe2O5/anharm

Equation of state

../../_images/fig_bm5201.png

(a) Equation of state

Harmonic properties

../../_images/fig_bandos_pr10369.png

(a) Phonon dispersion with participation ratio and DOS

../../_images/fig_thermo10369.png

(b) Thermodynamic properties

Grüneisen parameters

../../_images/fig_gru_all4191.png

(a) Grüneisen parameters

../../_images/fig_gruneisen4191.png

(b) Phonon dispersion with Grüneisen parameters

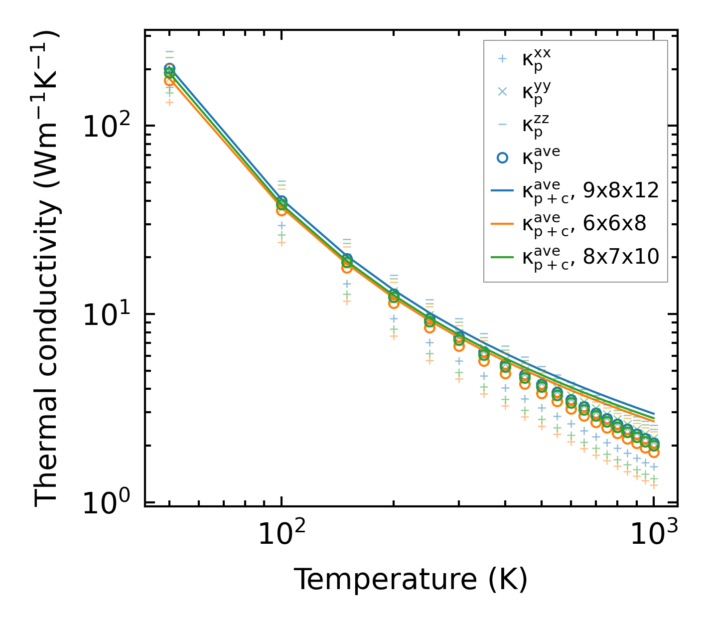
Thermal conductivity

3-phonon (LASSO) — q-mesh: 9x8x12, supercell: 2x1x2

../../_images/fig_kappa7900.png

(a) Temperature-dependent lattice thermal conductivity

../../_images/fig_kappa_vs_grain_size4245.png

(b) Peierls lattice thermal conductivity w.r.t grain size

Phonon lifetime and scattering rates

../../_images/fig_lifetime4151.png

(a) Phonon lifetime due to phonon-phonon scattering

../../_images/fig_scat_rates4150.png

(b) Phonon scattering rates

Cumulative and spectral thermal conductivity

../../_images/fig_cumu_frequency4151.png

(a) Spectral and cumulative thermal conductivity w.r.t frequency

../../_images/fig_cumu_mfp4150.png

(b) Spectral and cumulative thermal conductivity w.r.t MFP

Force constants

../../_images/fig_fc210114.png

(a) Force constants w.r.t atomic distance

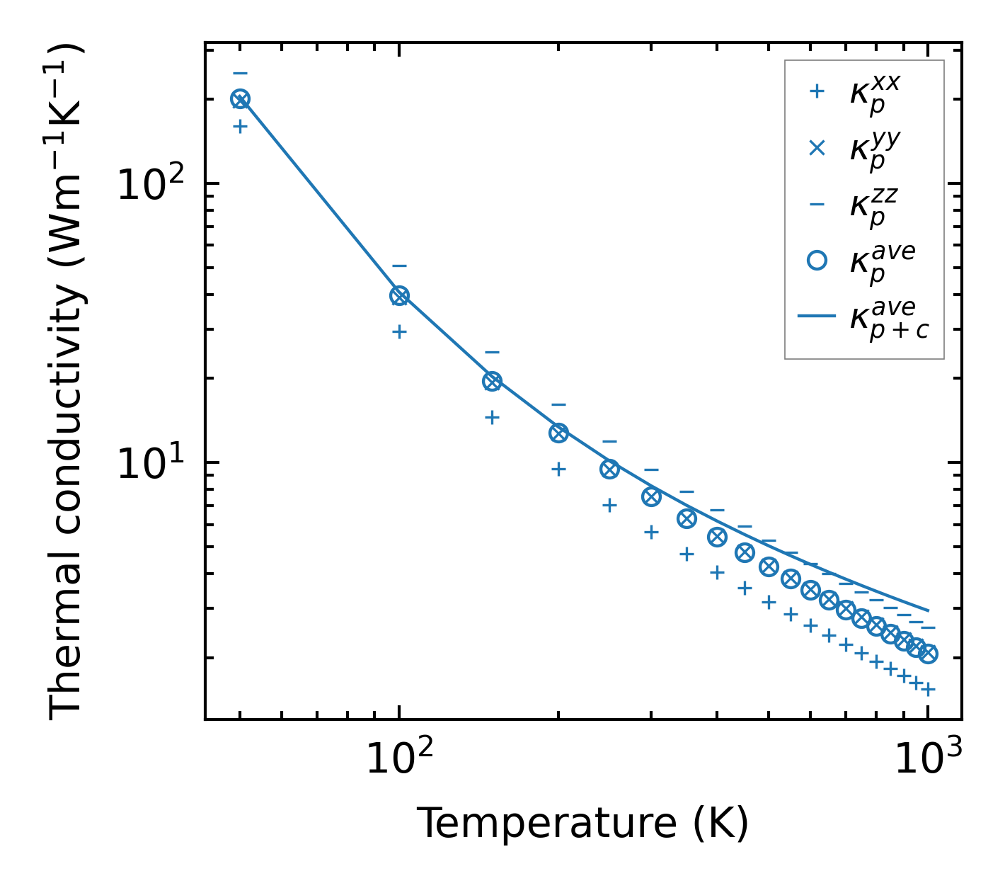
Summary

../../_images/fig_kappa7901.png

(a) Temperature-dependent lattice thermal conductivity

../../_images/fig_times17900.png

(b) Computation time