mp-4609/HfSiO4/anharm

Harmonic properties

../../_images/fig_bandos_pr10090.png

(a) Phonon dispersion with participation ratio and DOS

../../_images/fig_thermo10090.png

(b) Thermodynamic properties

Grüneisen parameters

../../_images/fig_gru_all4061.png

(a) Grüneisen parameters

../../_images/fig_gruneisen4061.png

(b) Phonon dispersion with Grüneisen parameters

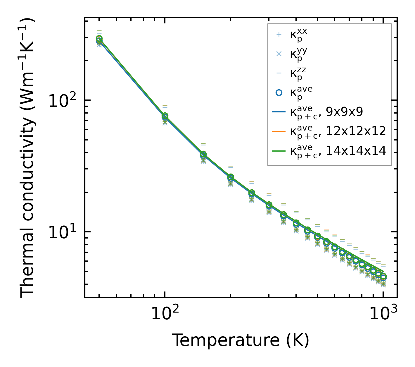
Thermal conductivity

3-phonon (LASSO) — q-mesh: 14x14x14, supercell: 1x1x2

../../_images/fig_kappa7661.png

(a) Temperature-dependent lattice thermal conductivity

../../_images/fig_kappa_vs_grain_size4115.png

(b) Peierls lattice thermal conductivity w.r.t grain size

Phonon lifetime and scattering rates

../../_images/fig_lifetime4023.png

(a) Phonon lifetime due to phonon-phonon scattering

../../_images/fig_scat_rates4022.png

(b) Phonon scattering rates

Cumulative and spectral thermal conductivity

../../_images/fig_cumu_frequency4023.png

(a) Spectral and cumulative thermal conductivity w.r.t frequency

../../_images/fig_cumu_mfp4022.png

(b) Spectral and cumulative thermal conductivity w.r.t MFP

Force constants

../../_images/fig_fc29842.png

(a) Force constants w.r.t atomic distance

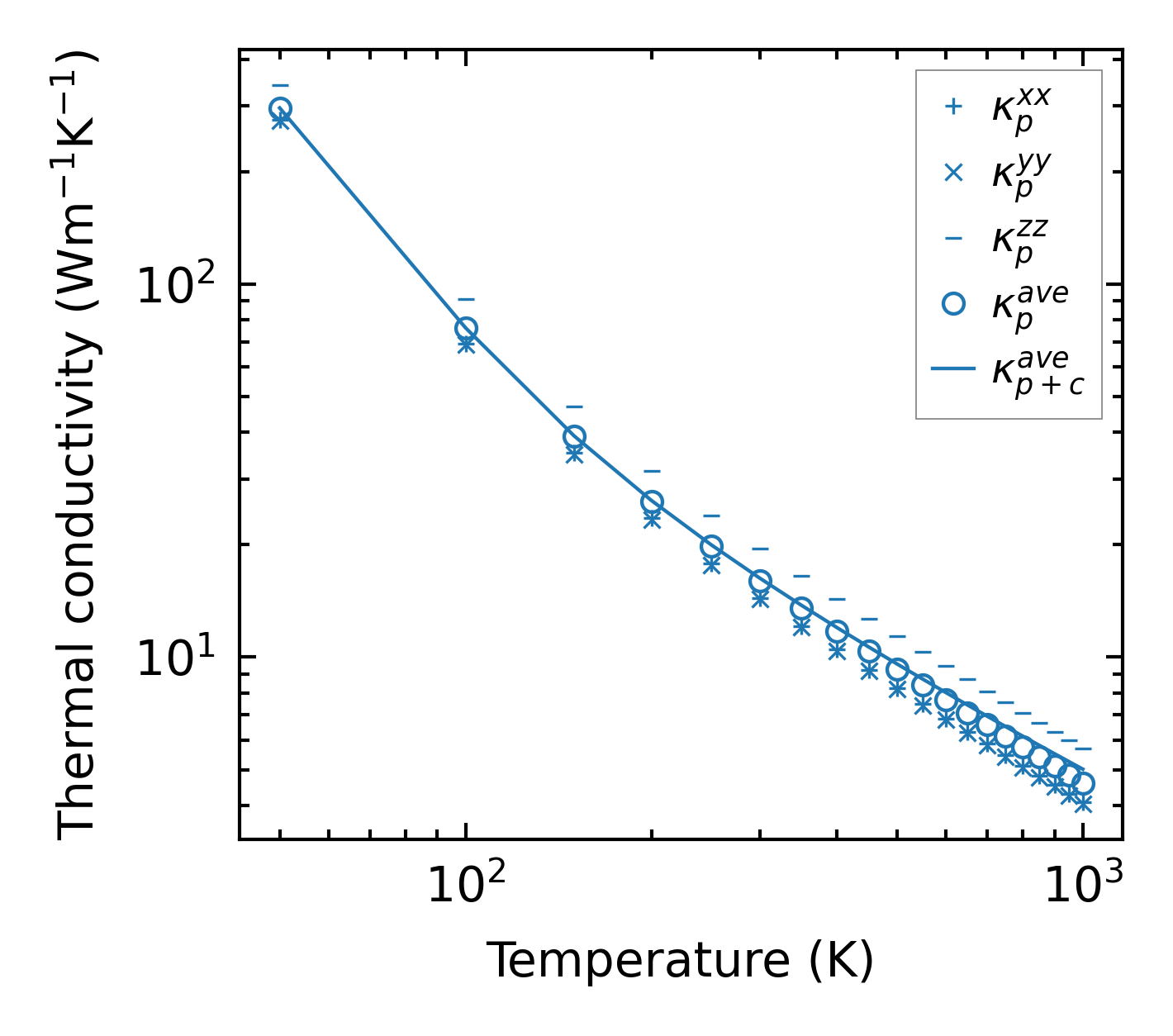
Summary

../../_images/fig_kappa7662.png

(a) Temperature-dependent lattice thermal conductivity

../../_images/fig_times17499.png

(b) Computation time