mp-3982/KCuO2/anharm

Harmonic properties

../../_images/fig_bandos_pr10696.png

(a) Phonon dispersion with participation ratio and DOS

../../_images/fig_thermo10696.png

(b) Thermodynamic properties

Grüneisen parameters

../../_images/fig_gru_all4356.png

(a) Grüneisen parameters

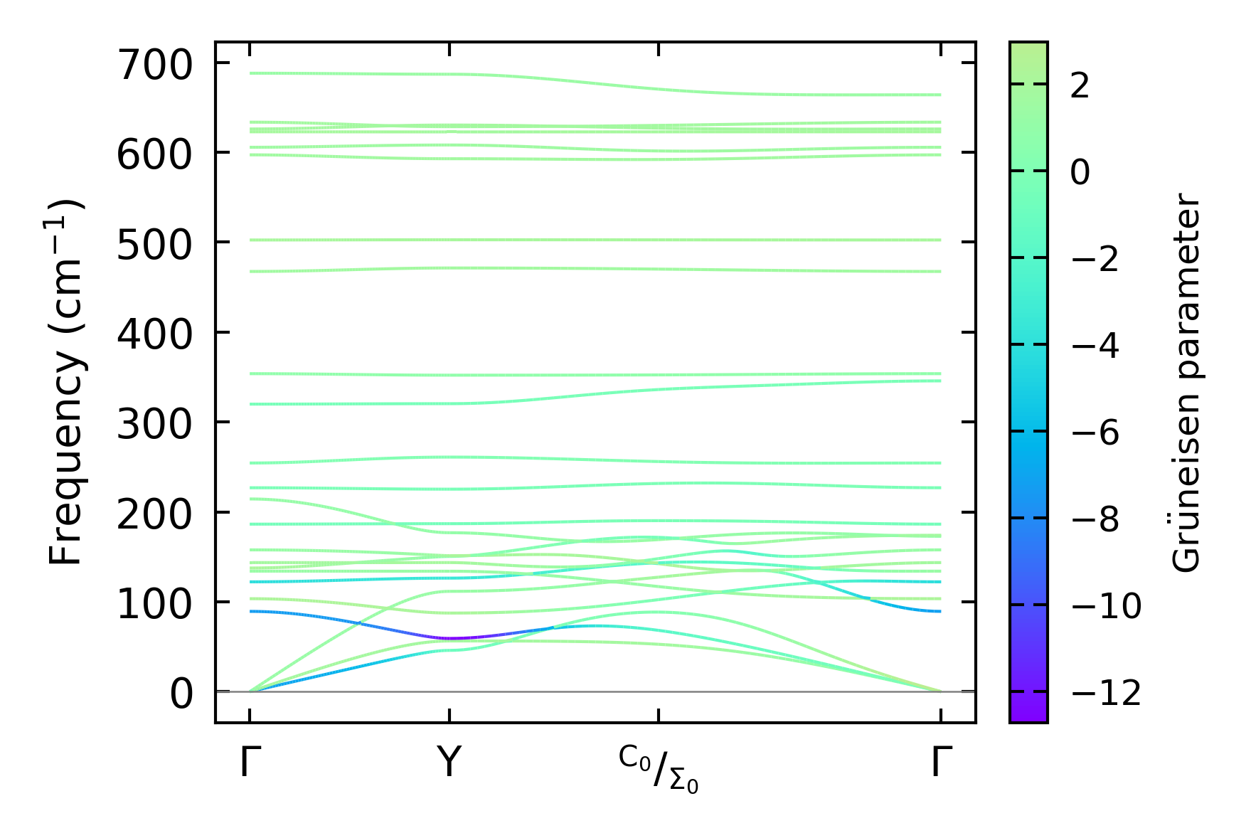
../../_images/fig_gruneisen4356.png

(b) Phonon dispersion with Grüneisen parameters

Thermal conductivity

3-phonon (LASSO) — q-mesh: 13x13x15, supercell: 3x1x3

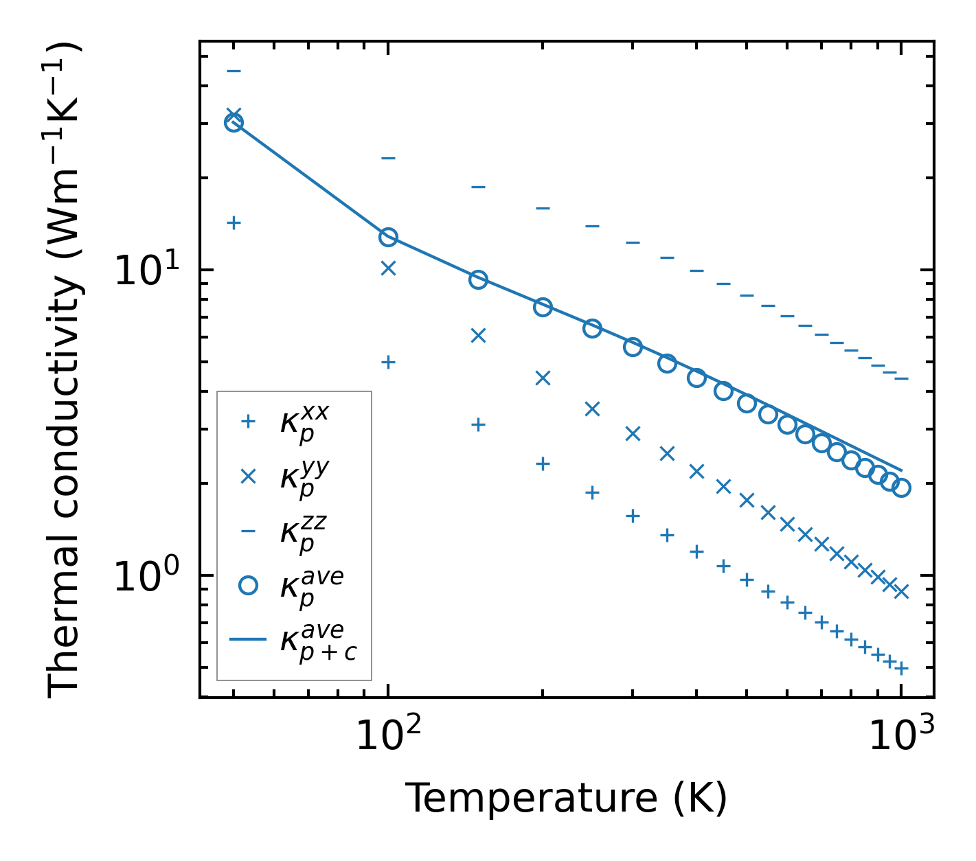
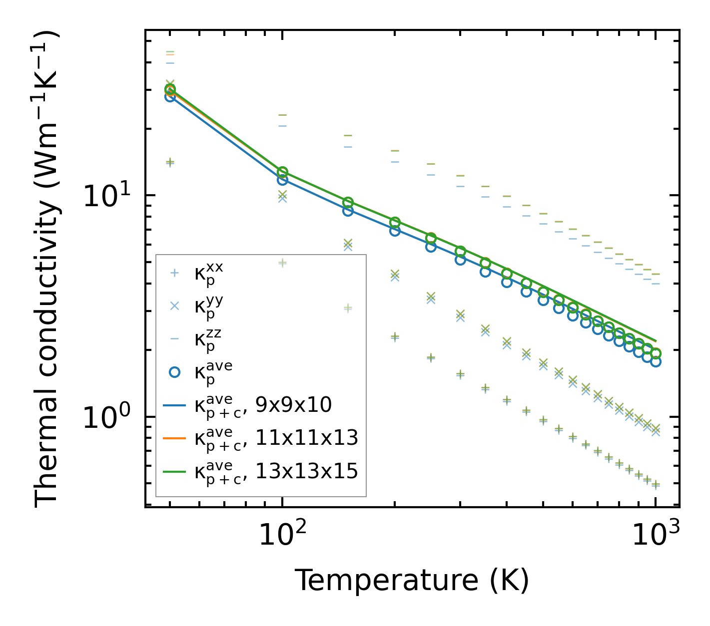
../../_images/fig_kappa8221.png

(a) Temperature-dependent lattice thermal conductivity

../../_images/fig_kappa_vs_grain_size4408.png

(b) Peierls lattice thermal conductivity w.r.t grain size

Phonon lifetime and scattering rates

../../_images/fig_lifetime4313.png

(a) Phonon lifetime due to phonon-phonon scattering

../../_images/fig_scat_rates4312.png

(b) Phonon scattering rates

Cumulative and spectral thermal conductivity

../../_images/fig_cumu_frequency4313.png

(a) Spectral and cumulative thermal conductivity w.r.t frequency

../../_images/fig_cumu_mfp4312.png

(b) Spectral and cumulative thermal conductivity w.r.t MFP

Force constants

../../_images/fig_fc210429.png

(a) Force constants w.r.t atomic distance

Summary

../../_images/fig_kappa8222.png

(a) Temperature-dependent lattice thermal conductivity

../../_images/fig_times18351.png

(b) Computation time