mp-3285-2/Na2Ta4O11/anharm

Equation of state

../../_images/fig_bm5343.png

(a) Equation of state

Harmonic properties

../../_images/fig_bandos_pr10876.png

(a) Phonon dispersion with participation ratio and DOS

../../_images/fig_bandos14785.png

(b) Phonon dispersion and DOS

../../_images/fig_thermo10876.png

(c) Thermodynamic properties

Grüneisen parameters

../../_images/fig_gru_all4445.png

(a) Grüneisen parameters

../../_images/fig_gruneisen4445.png

(b) Phonon dispersion with Grüneisen parameters

Thermal conductivity

3-phonon (LASSO), supercell 2x2x1 — q-mesh: 9x9x9, supercell: 2x2x1

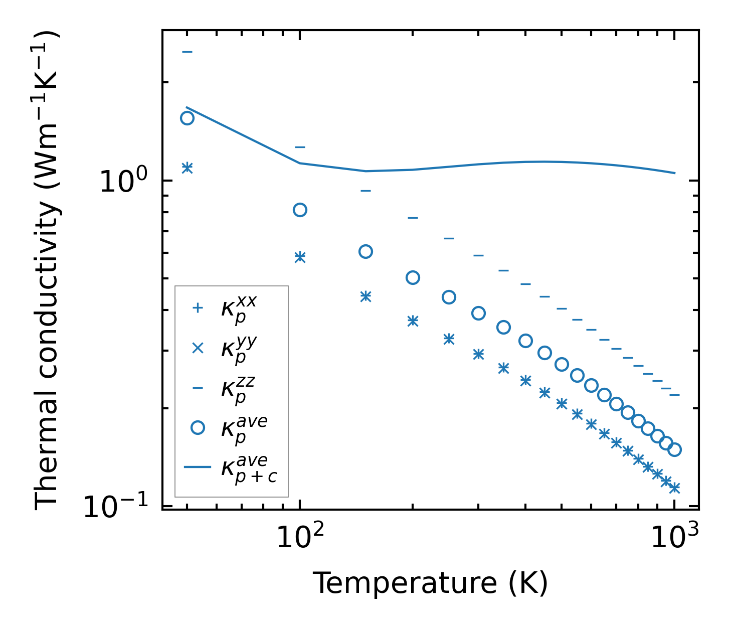
../../_images/fig_kappa8397.png

(a) Temperature-dependent lattice thermal conductivity

../../_images/fig_kappa_vs_grain_size4500.png

(b) Peierls lattice thermal conductivity w.r.t grain size

Phonon lifetime and scattering rates

../../_images/fig_lifetime4402.png

(a) Phonon lifetime due to phonon-phonon scattering

../../_images/fig_scat_rates4401.png

(b) Phonon scattering rates

Cumulative and spectral thermal conductivity

../../_images/fig_cumu_frequency4402.png

(a) Spectral and cumulative thermal conductivity w.r.t frequency

../../_images/fig_cumu_mfp4401.png

(b) Spectral and cumulative thermal conductivity w.r.t MFP

Force constants

../../_images/fig_fc210602.png

(a) Force constants w.r.t atomic distance

Summary

../../_images/fig_times18609.png

(a) Computation time