mp-3838-2/Li5ReN4/anharm

Harmonic properties

../../_images/fig_bandos_pr10656.png

(a) Phonon dispersion with participation ratio and DOS

../../_images/fig_thermo10656.png

(b) Thermodynamic properties

Grüneisen parameters

../../_images/fig_gru_all4330.png

(a) Grüneisen parameters

../../_images/fig_gruneisen4330.png

(b) Phonon dispersion with Grüneisen parameters

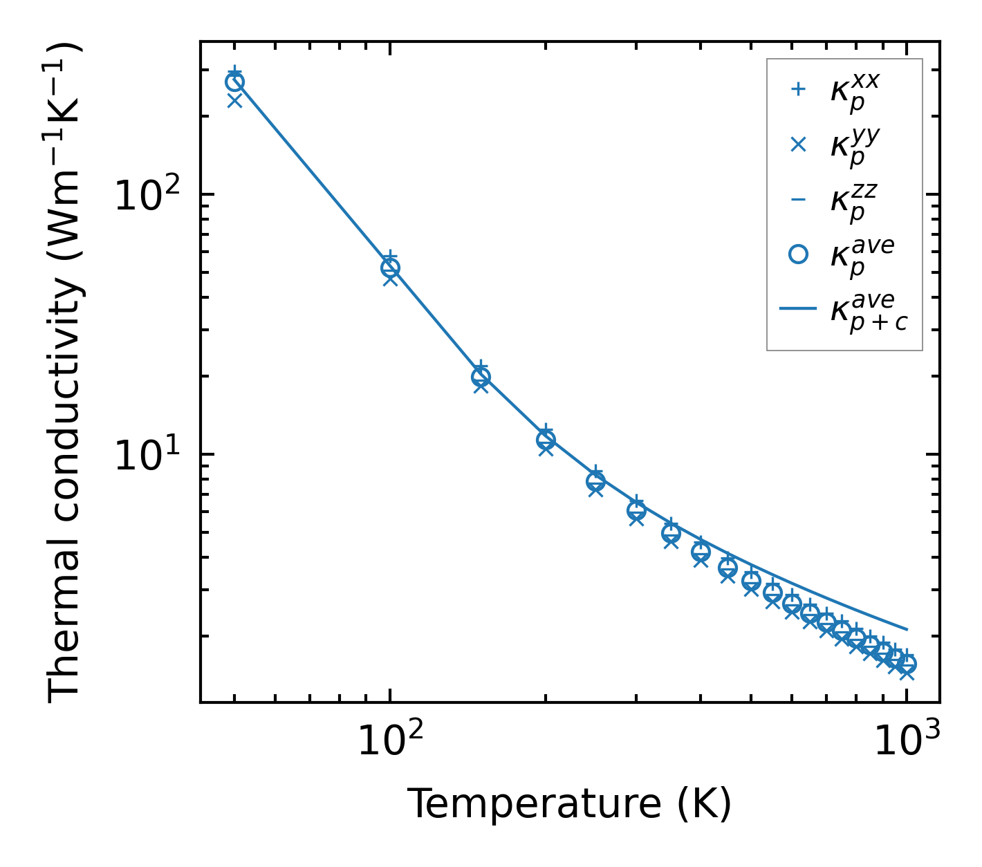
Thermal conductivity

3-phonon (LASSO) — q-mesh: 10x10x14, supercell: 2x1x2

../../_images/fig_kappa8168.png

(a) Temperature-dependent lattice thermal conductivity

../../_images/fig_kappa_vs_grain_size4381.png

(b) Peierls lattice thermal conductivity w.r.t grain size

Phonon lifetime and scattering rates

../../_images/fig_lifetime4287.png

(a) Phonon lifetime due to phonon-phonon scattering

../../_images/fig_scat_rates4286.png

(b) Phonon scattering rates

Cumulative and spectral thermal conductivity

../../_images/fig_cumu_frequency4287.png

(a) Spectral and cumulative thermal conductivity w.r.t frequency

../../_images/fig_cumu_mfp4286.png

(b) Spectral and cumulative thermal conductivity w.r.t MFP

Force constants

../../_images/fig_fc210389.png

(a) Force constants w.r.t atomic distance

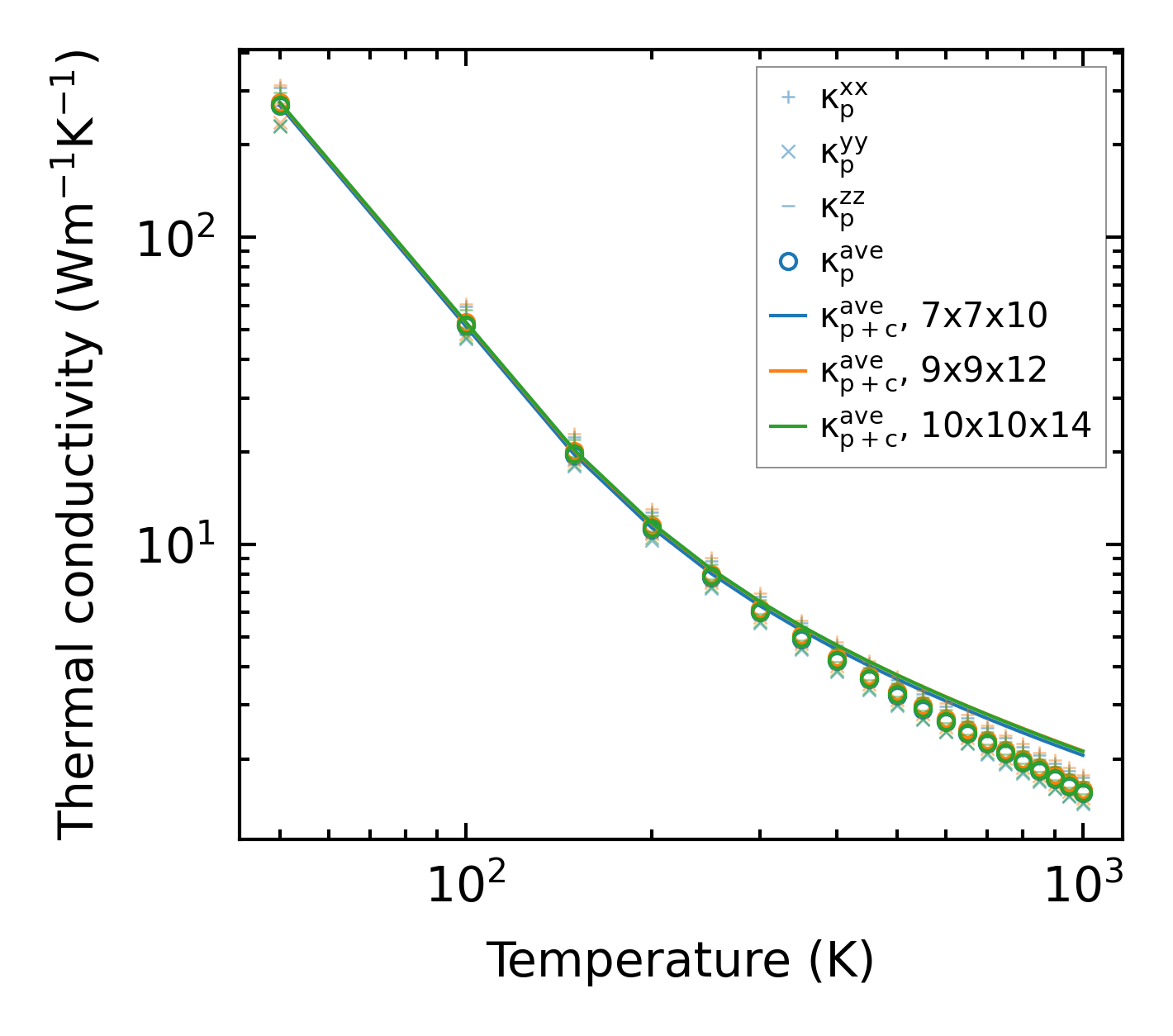
Summary

../../_images/fig_kappa8169.png

(a) Temperature-dependent lattice thermal conductivity

../../_images/fig_times18294.png

(b) Computation time