mp-3694-2/NdPS4/anharm

Equation of state

../../_images/fig_bm5402.png

(a) Equation of state

Harmonic properties

../../_images/fig_bandos_pr10979.png

(a) Phonon dispersion with participation ratio and DOS

../../_images/fig_thermo10979.png

(b) Thermodynamic properties

Grüneisen parameters

../../_images/fig_gru_all4499.png

(a) Grüneisen parameters

../../_images/fig_gruneisen4499.png

(b) Phonon dispersion with Grüneisen parameters

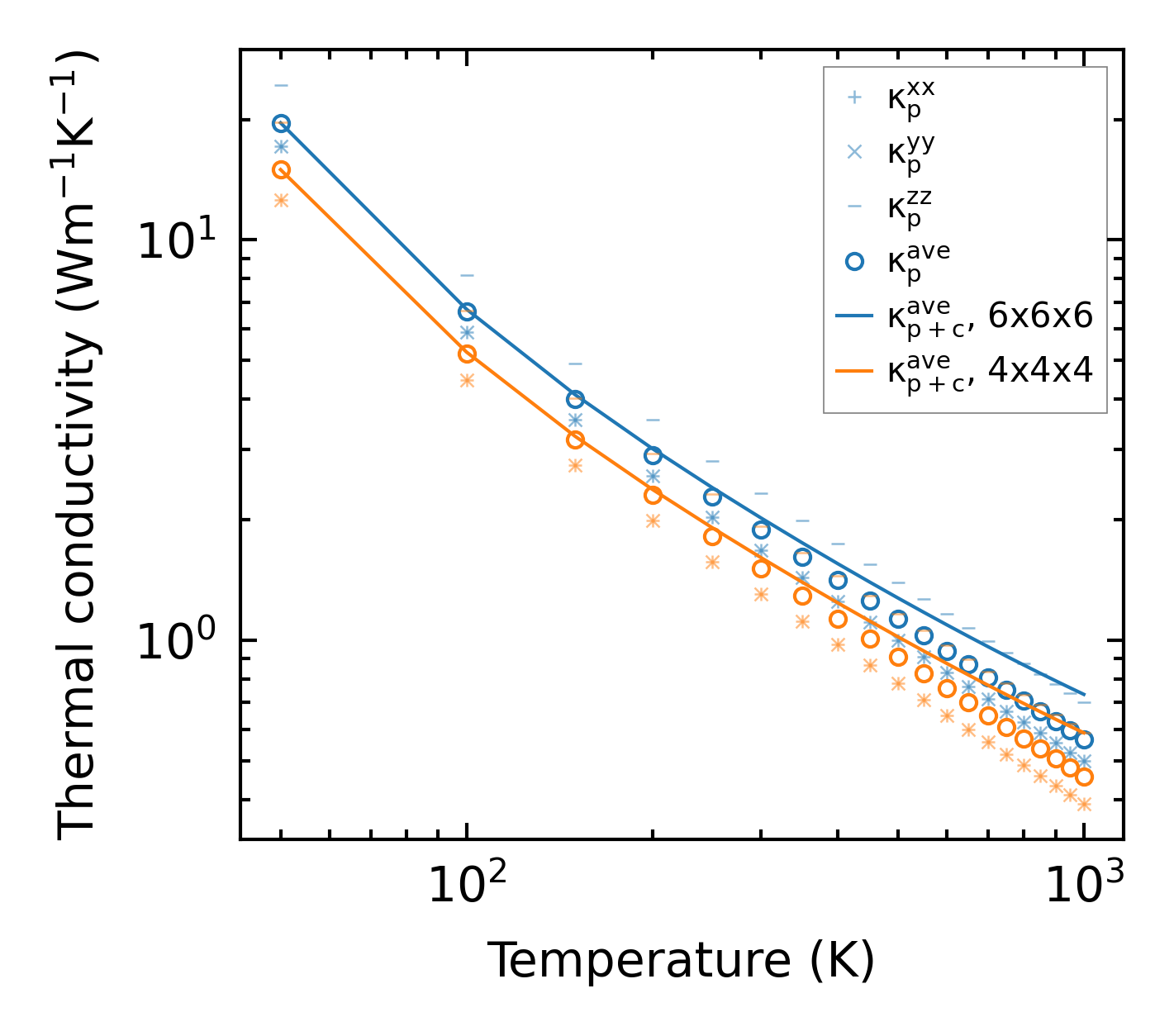
Thermal conductivity

3-phonon (LASSO) — q-mesh: 6x6x6, supercell: 1x1x1

../../_images/fig_kappa8493.png

(a) Temperature-dependent lattice thermal conductivity

../../_images/fig_kappa_vs_grain_size4553.png

(b) Peierls lattice thermal conductivity w.r.t grain size

Phonon lifetime and scattering rates

../../_images/fig_lifetime4455.png

(a) Phonon lifetime due to phonon-phonon scattering

../../_images/fig_scat_rates4454.png

(b) Phonon scattering rates

Cumulative and spectral thermal conductivity

../../_images/fig_cumu_frequency4455.png

(a) Spectral and cumulative thermal conductivity w.r.t frequency

../../_images/fig_cumu_mfp4454.png

(b) Spectral and cumulative thermal conductivity w.r.t MFP

Force constants

../../_images/fig_fc210704.png

(a) Force constants w.r.t atomic distance

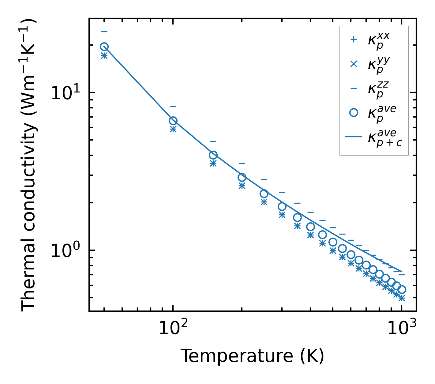
Summary

../../_images/fig_kappa8494.png

(a) Temperature-dependent lattice thermal conductivity

../../_images/fig_times18761.png

(b) Computation time