mp-3031-2/BaSi2O5/anharm

Equation of state

../../_images/fig_bm5448.png

(a) Equation of state

Harmonic properties

../../_images/fig_bandos_pr11145.png

(a) Phonon dispersion with participation ratio and DOS

../../_images/fig_thermo11145.png

(b) Thermodynamic properties

Grüneisen parameters

../../_images/fig_gru_all4591.png

(a) Grüneisen parameters

../../_images/fig_gruneisen4591.png

(b) Phonon dispersion with Grüneisen parameters

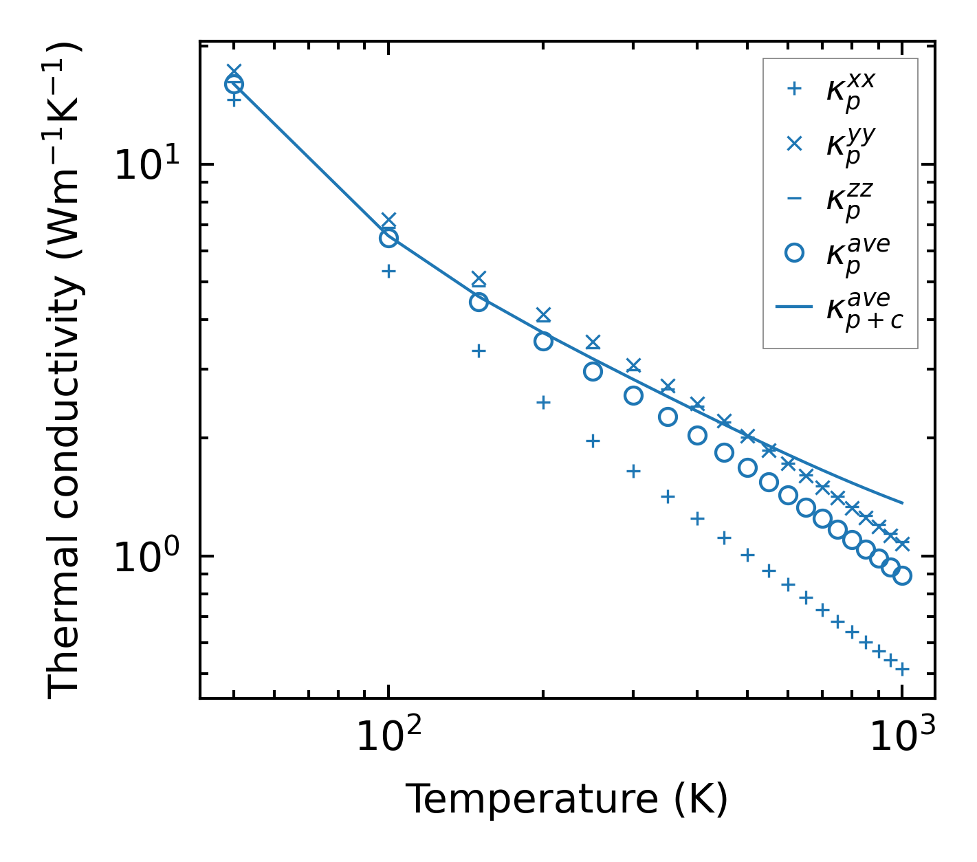
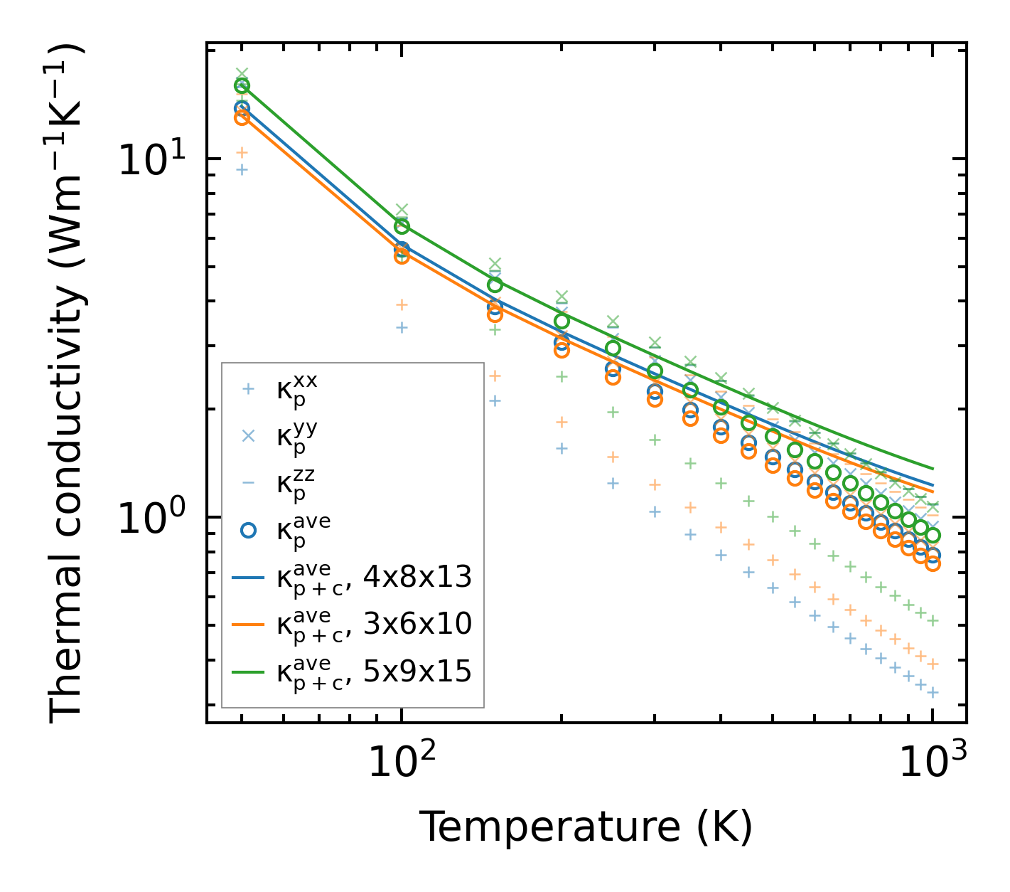
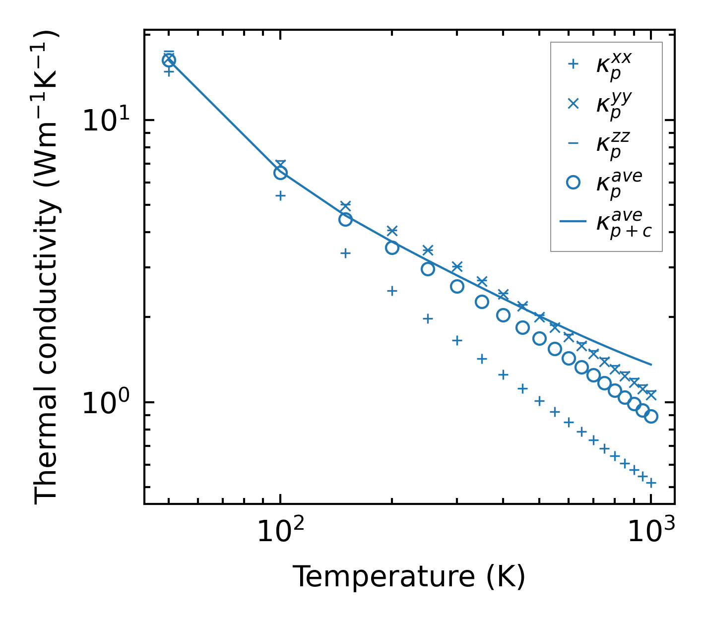
Thermal conductivity

3-phonon (LASSO) — q-mesh: 5x9x15, supercell: 1x2x2

../../_images/fig_kappa8665.png

(a) Temperature-dependent lattice thermal conductivity

../../_images/fig_kappa_vs_grain_size4646.png

(b) Peierls lattice thermal conductivity w.r.t grain size

3-phonon (LASSO), supercell 1x2x3 — q-mesh: 5x9x15, supercell: 1x2x3

../../_images/fig_kappa8666.png

(a) Temperature-dependent lattice thermal conductivity

../../_images/fig_kappa_vs_grain_size4647.png

(b) Peierls lattice thermal conductivity w.r.t grain size

Phonon lifetime and scattering rates

../../_images/fig_lifetime4547.png

(a) Phonon lifetime due to phonon-phonon scattering

../../_images/fig_scat_rates4546.png

(b) Phonon scattering rates

Cumulative and spectral thermal conductivity

../../_images/fig_cumu_frequency4547.png

(a) Spectral and cumulative thermal conductivity w.r.t frequency

../../_images/fig_cumu_mfp4546.png

(b) Spectral and cumulative thermal conductivity w.r.t MFP

Force constants

../../_images/fig_fc210862.png

(a) Force constants w.r.t atomic distance

Summary

../../_images/fig_kappa8667.png

(a) Temperature-dependent lattice thermal conductivity

../../_images/fig_times19055.png

(b) Computation time