mp-3719/Rb3NbS4/anharm

Equation of state

../../_images/fig_bm5405.png

(a) Equation of state

Harmonic properties

../../_images/fig_bandos_pr10986.png

(a) Phonon dispersion with participation ratio and DOS

../../_images/fig_thermo10986.png

(b) Thermodynamic properties

Grüneisen parameters

../../_images/fig_gru_all4505.png

(a) Grüneisen parameters

../../_images/fig_gruneisen4505.png

(b) Phonon dispersion with Grüneisen parameters

Thermal conductivity

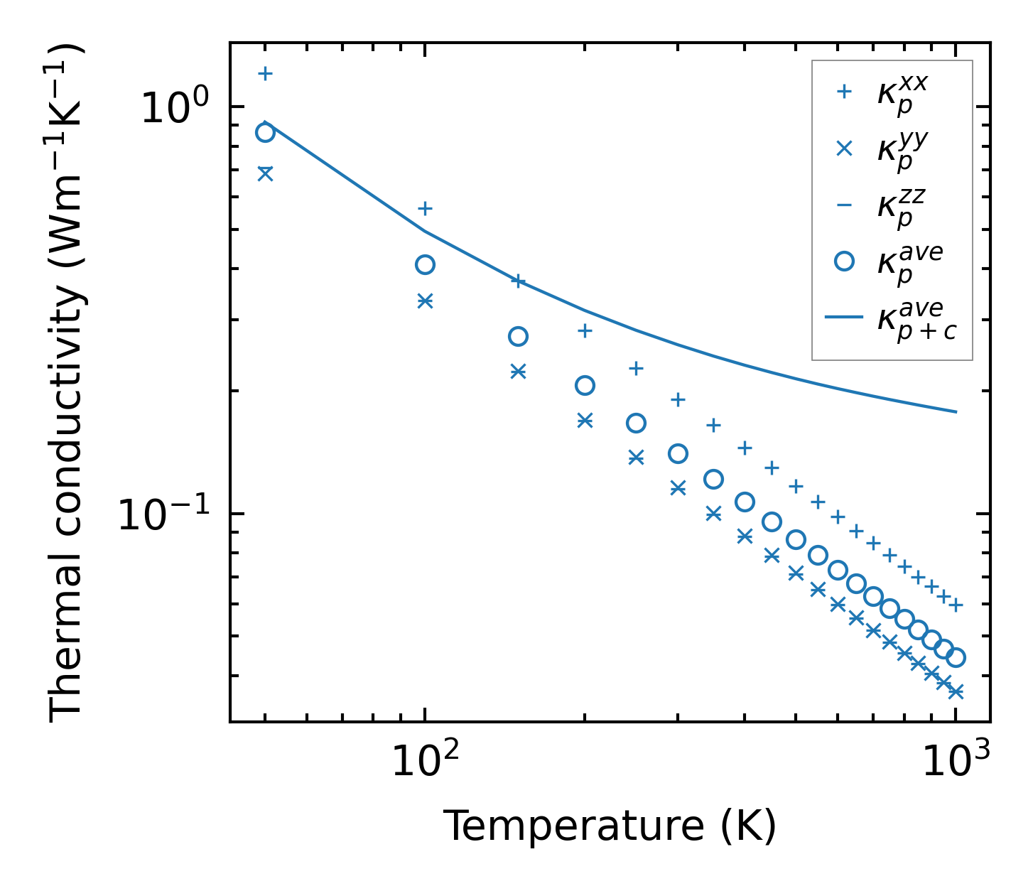
3-phonon (LASSO) — q-mesh: 7x6x7, supercell: 2x1x2

../../_images/fig_kappa8505.png

(a) Temperature-dependent lattice thermal conductivity

../../_images/fig_kappa_vs_grain_size4559.png

(b) Peierls lattice thermal conductivity w.r.t grain size

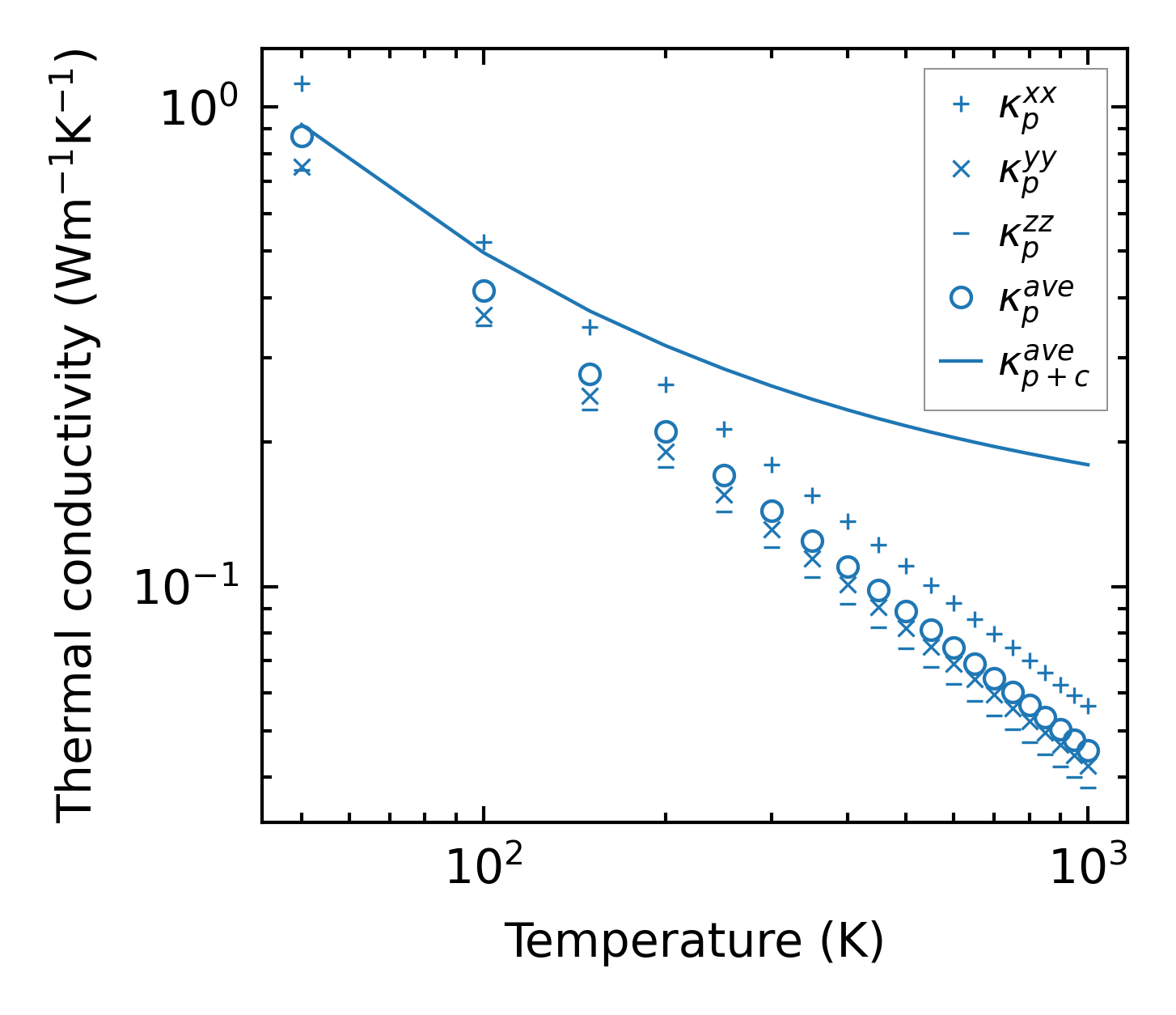
3-phonon (LASSO), supercell 2x2x2 — q-mesh: 7x6x7, supercell: 2x2x2

../../_images/fig_kappa8506.png

(a) Temperature-dependent lattice thermal conductivity

../../_images/fig_kappa_vs_grain_size4560.png

(b) Peierls lattice thermal conductivity w.r.t grain size

Phonon lifetime and scattering rates

../../_images/fig_lifetime4461.png

(a) Phonon lifetime due to phonon-phonon scattering

../../_images/fig_scat_rates4460.png

(b) Phonon scattering rates

Cumulative and spectral thermal conductivity

../../_images/fig_cumu_frequency4461.png

(a) Spectral and cumulative thermal conductivity w.r.t frequency

../../_images/fig_cumu_mfp4460.png

(b) Spectral and cumulative thermal conductivity w.r.t MFP

Force constants

../../_images/fig_fc210710.png

(a) Force constants w.r.t atomic distance

Summary

../../_images/fig_kappa8507.png

(a) Temperature-dependent lattice thermal conductivity

../../_images/fig_times18770.png

(b) Computation time