mp-3164-2/BaSO4/anharm

Equation of state

../../_images/fig_bm5330.png

(a) Equation of state

Harmonic properties

../../_images/fig_bandos_pr10854.png

(a) Phonon dispersion with participation ratio and DOS

../../_images/fig_thermo10854.png

(b) Thermodynamic properties

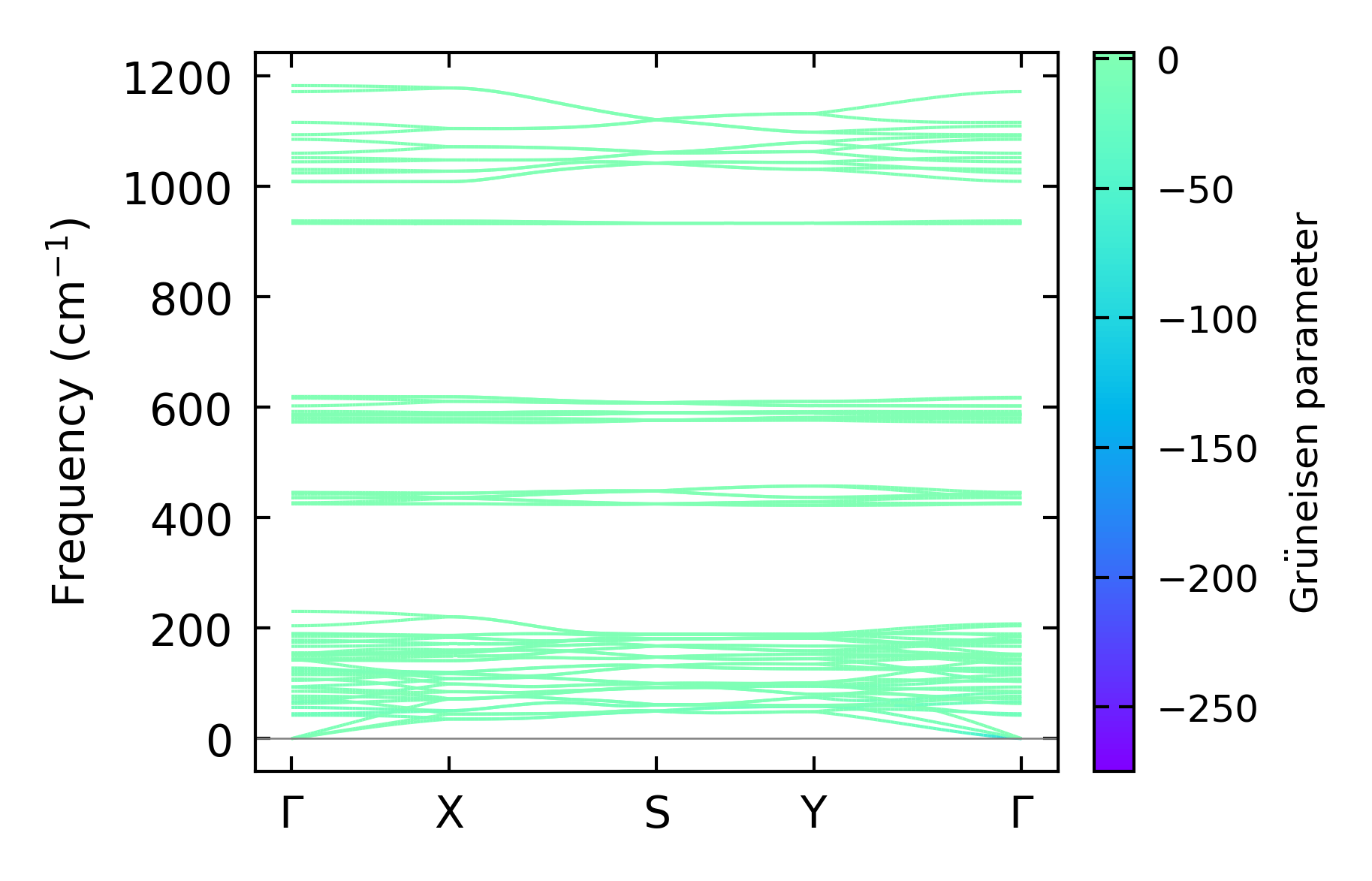
Grüneisen parameters

../../_images/fig_gru_all4433.png

(a) Grüneisen parameters

../../_images/fig_gruneisen4433.png

(b) Phonon dispersion with Grüneisen parameters

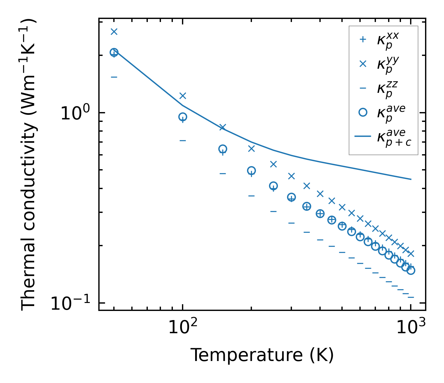
Thermal conductivity

3-phonon (LASSO) — q-mesh: 8x13x10, supercell: 1x2x2

../../_images/fig_kappa8372.png

(a) Temperature-dependent lattice thermal conductivity

../../_images/fig_kappa_vs_grain_size4487.png

(b) Peierls lattice thermal conductivity w.r.t grain size

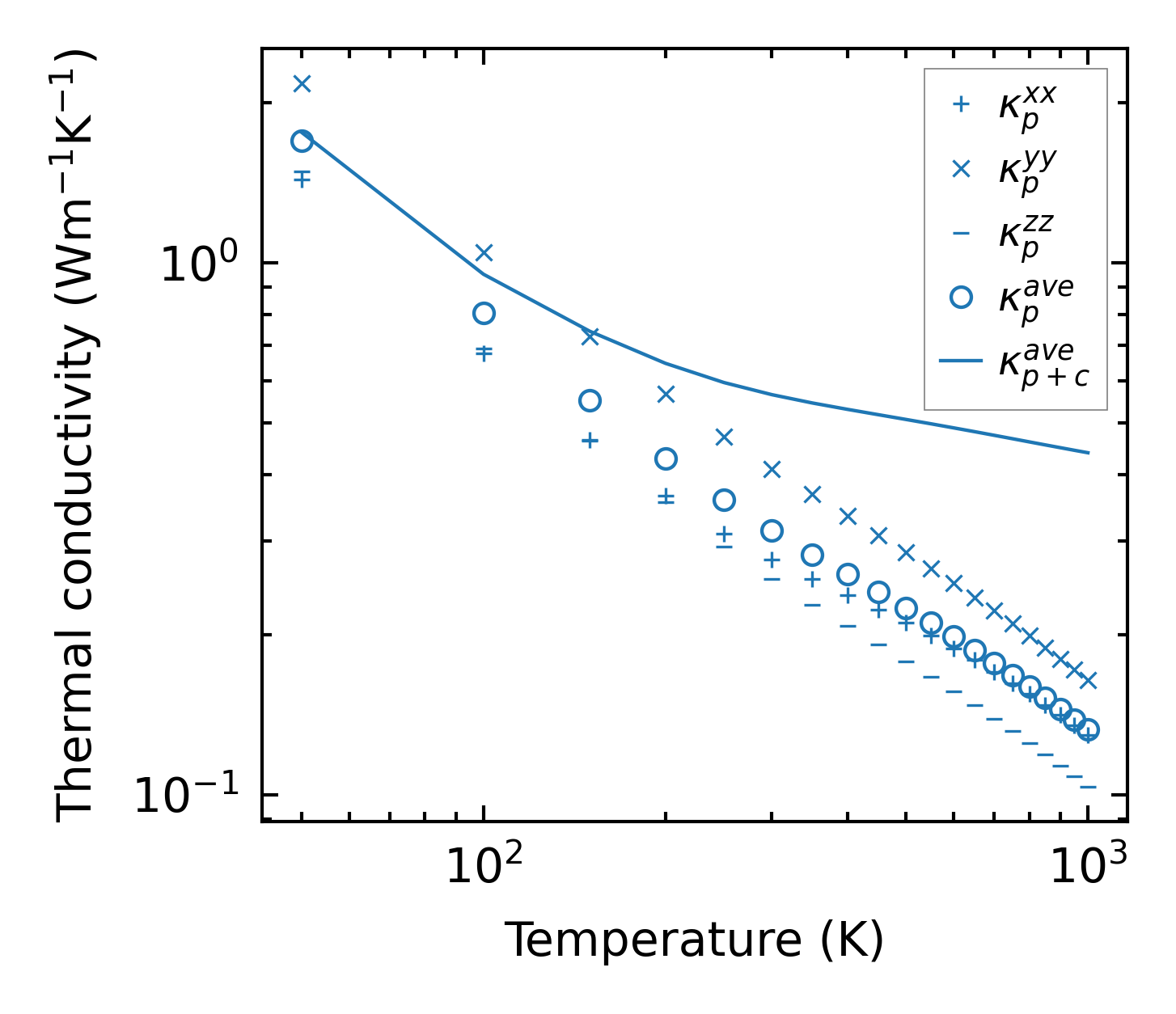
3-phonon (LASSO), supercell 2x2x2 — q-mesh: 8x13x10, supercell: 2x2x2

../../_images/fig_kappa8373.png

(a) Temperature-dependent lattice thermal conductivity

../../_images/fig_kappa_vs_grain_size4488.png

(b) Peierls lattice thermal conductivity w.r.t grain size

Phonon lifetime and scattering rates

../../_images/fig_lifetime4390.png

(a) Phonon lifetime due to phonon-phonon scattering

../../_images/fig_scat_rates4389.png

(b) Phonon scattering rates

Cumulative and spectral thermal conductivity

../../_images/fig_cumu_frequency4390.png

(a) Spectral and cumulative thermal conductivity w.r.t frequency

../../_images/fig_cumu_mfp4389.png

(b) Spectral and cumulative thermal conductivity w.r.t MFP

Force constants

../../_images/fig_fc210580.png

(a) Force constants w.r.t atomic distance

Summary

../../_images/fig_kappa8374.png

(a) Temperature-dependent lattice thermal conductivity

../../_images/fig_times18575.png

(b) Computation time