mp-3042/K2SiF6/anharm

Harmonic properties

../../_images/fig_bandos_pr10818.png

(a) Phonon dispersion with participation ratio and DOS

../../_images/fig_thermo10818.png

(b) Thermodynamic properties

Grüneisen parameters

../../_images/fig_gru_all4414.png

(a) Grüneisen parameters

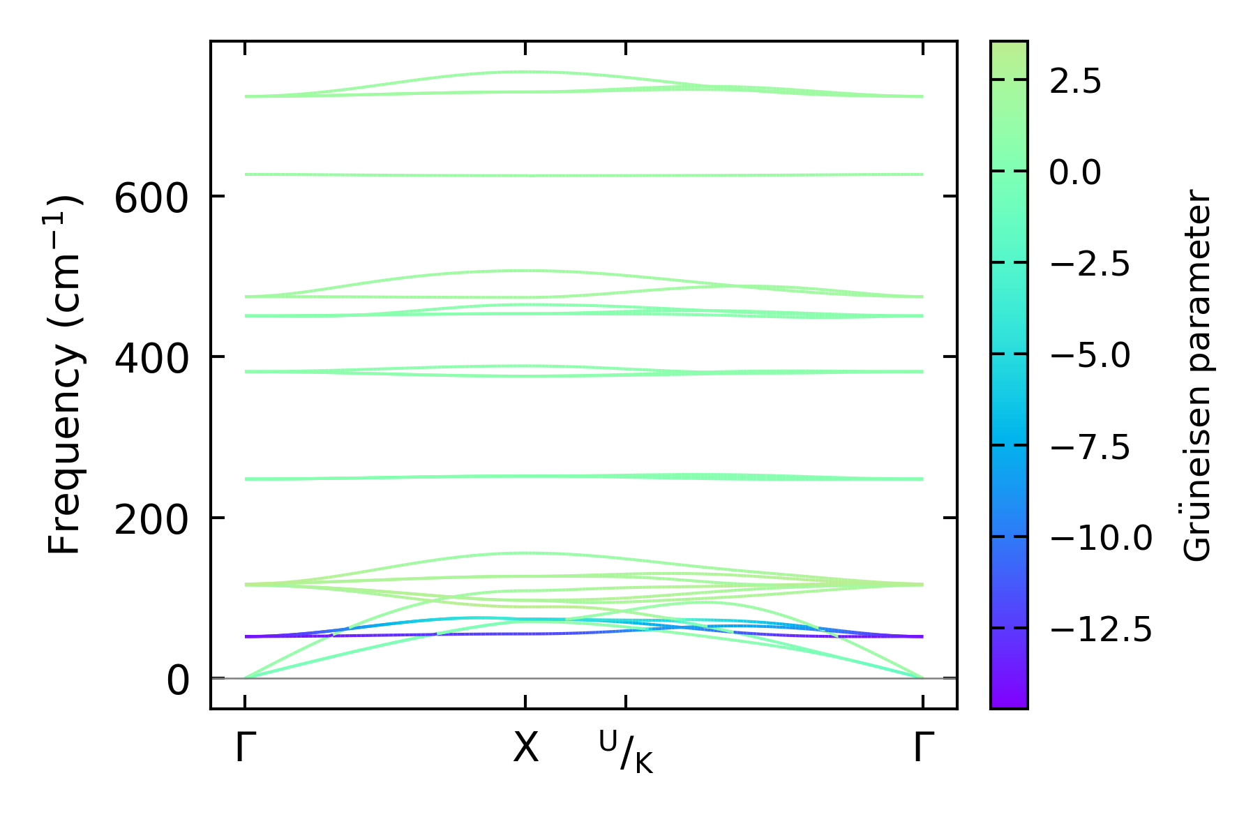
../../_images/fig_gruneisen4414.png

(b) Phonon dispersion with Grüneisen parameters

Thermal conductivity

3-phonon — q-mesh: 14x14x14, supercell: 1x1x1

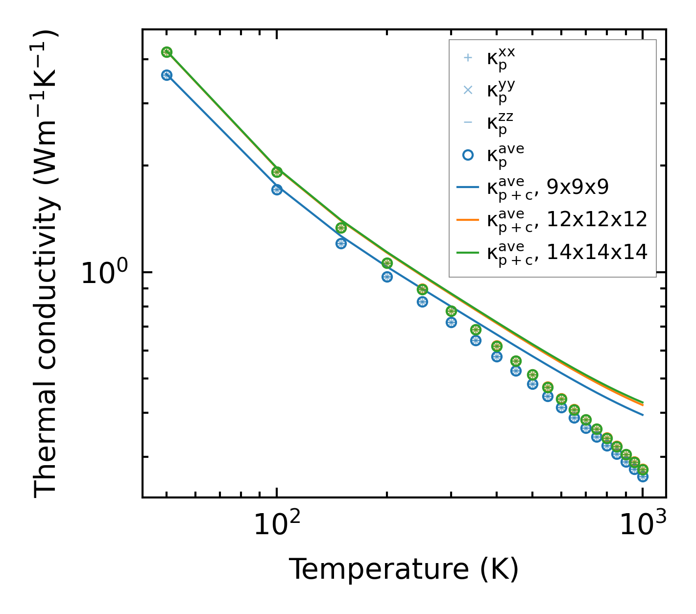
../../_images/fig_kappa8334.png

(a) Temperature-dependent lattice thermal conductivity

../../_images/fig_kappa_vs_grain_size4467.png

(b) Peierls lattice thermal conductivity w.r.t grain size

Phonon lifetime and scattering rates

../../_images/fig_lifetime4371.png

(a) Phonon lifetime due to phonon-phonon scattering

../../_images/fig_scat_rates4370.png

(b) Phonon scattering rates

Cumulative and spectral thermal conductivity

../../_images/fig_cumu_frequency4371.png

(a) Spectral and cumulative thermal conductivity w.r.t frequency

../../_images/fig_cumu_mfp4370.png

(b) Spectral and cumulative thermal conductivity w.r.t MFP

Force constants

../../_images/fig_fc3273.png

(a) Force constants w.r.t atomic distance

Summary

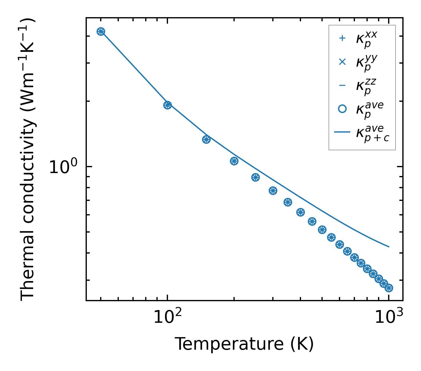
../../_images/fig_kappa8335.png

(a) Temperature-dependent lattice thermal conductivity

../../_images/fig_times18531.png

(b) Computation time