mp-3372/Rb2SO4/anharm

Harmonic properties

../../_images/fig_bandos_pr10900.png

(a) Phonon dispersion with participation ratio and DOS

../../_images/fig_thermo10900.png

(b) Thermodynamic properties

Grüneisen parameters

../../_images/fig_gru_all4456.png

(a) Grüneisen parameters

../../_images/fig_gruneisen4456.png

(b) Phonon dispersion with Grüneisen parameters

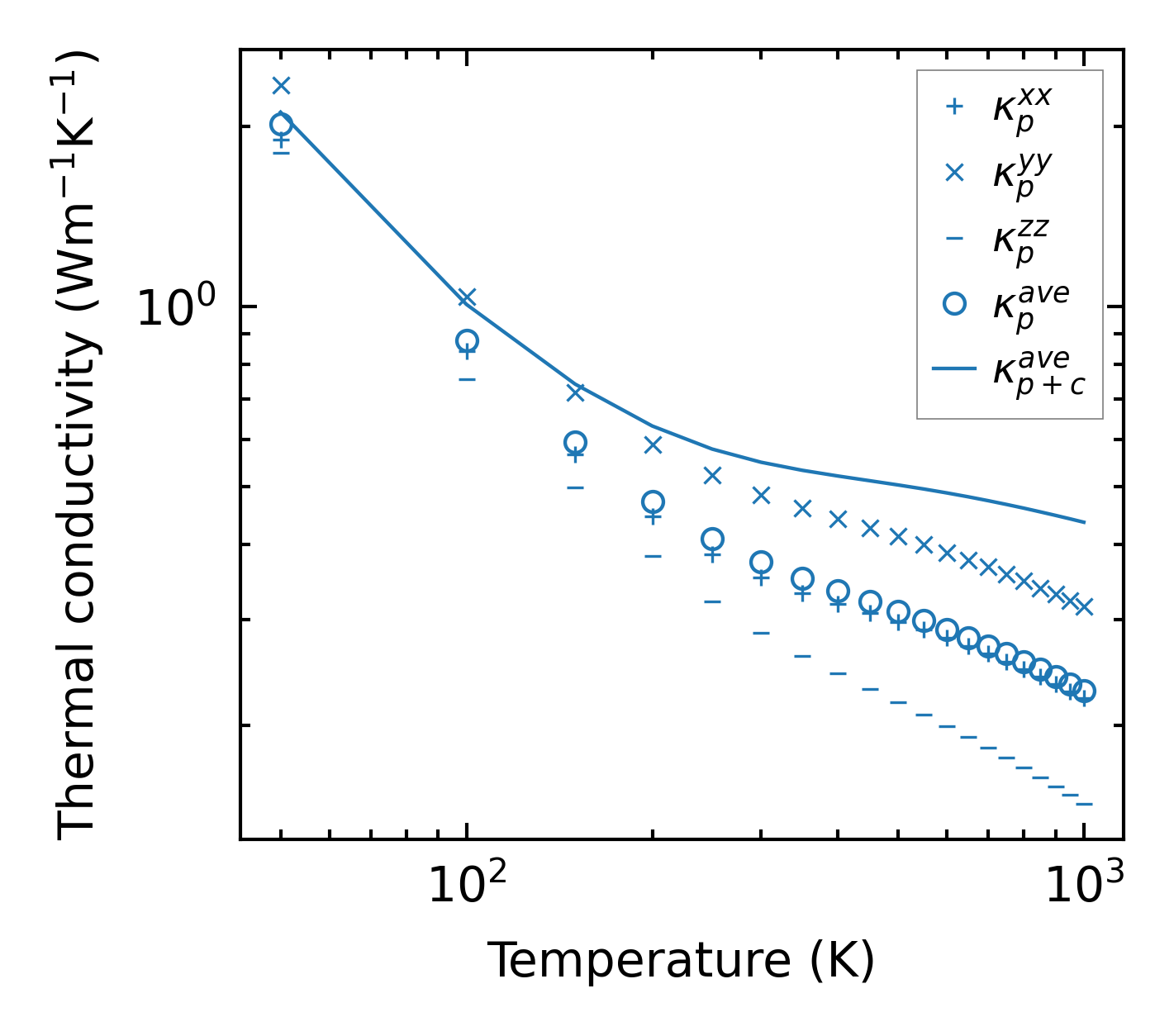
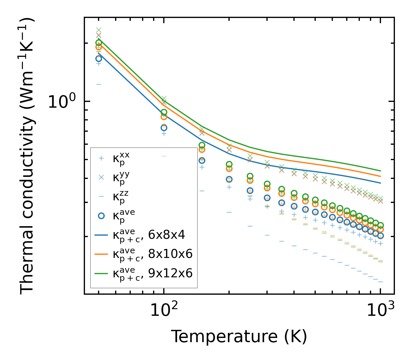
Thermal conductivity

3-phonon (LASSO) — q-mesh: 9x12x6, supercell: 2x2x1

../../_images/fig_kappa8418.png

(a) Temperature-dependent lattice thermal conductivity

../../_images/fig_kappa_vs_grain_size4511.png

(b) Peierls lattice thermal conductivity w.r.t grain size

Phonon lifetime and scattering rates

../../_images/fig_lifetime4413.png

(a) Phonon lifetime due to phonon-phonon scattering

../../_images/fig_scat_rates4412.png

(b) Phonon scattering rates

Cumulative and spectral thermal conductivity

../../_images/fig_cumu_frequency4413.png

(a) Spectral and cumulative thermal conductivity w.r.t frequency

../../_images/fig_cumu_mfp4412.png

(b) Spectral and cumulative thermal conductivity w.r.t MFP

Force constants

../../_images/fig_fc210626.png

(a) Force constants w.r.t atomic distance

Summary

../../_images/fig_kappa8419.png

(a) Temperature-dependent lattice thermal conductivity

../../_images/fig_times18644.png

(b) Computation time