mp-3858-2/NaTaO3/anharm

Equation of state

../../_images/fig_bm5288.png

(a) Equation of state

Harmonic properties

../../_images/fig_bandos_pr10662.png

(a) Phonon dispersion with participation ratio and DOS

../../_images/fig_thermo10662.png

(b) Thermodynamic properties

Grüneisen parameters

../../_images/fig_gru_all4334.png

(a) Grüneisen parameters

../../_images/fig_gruneisen4334.png

(b) Phonon dispersion with Grüneisen parameters

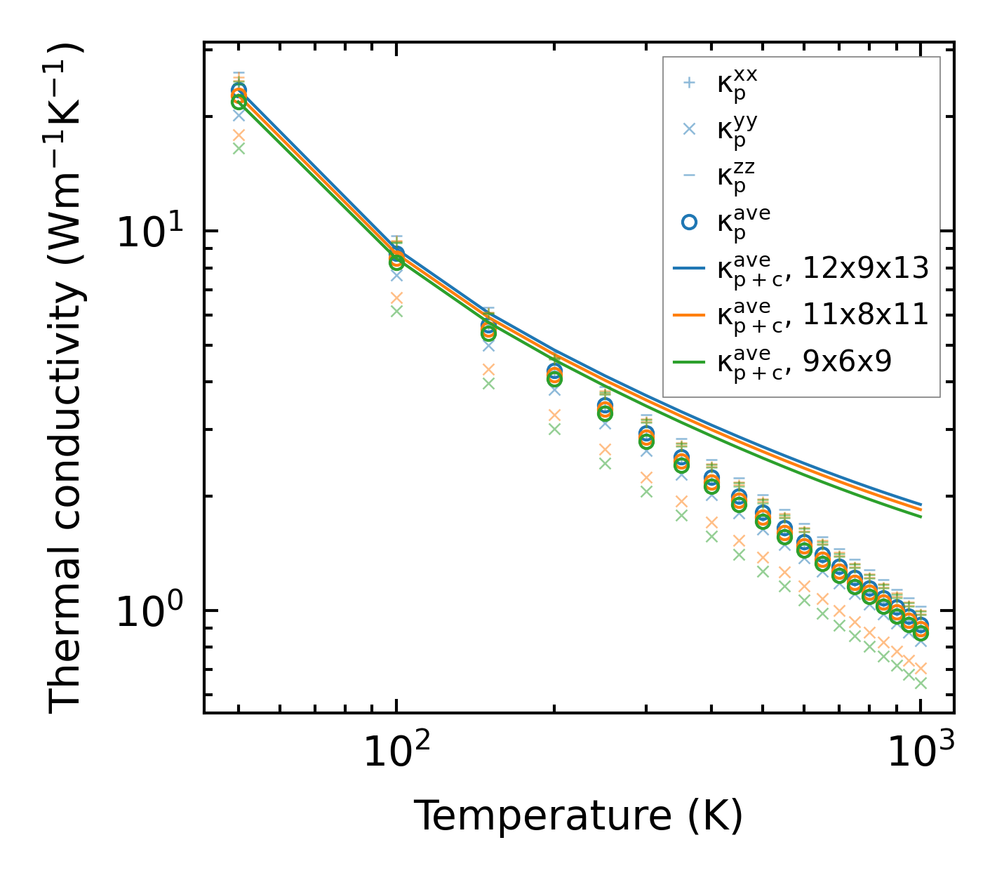
Thermal conductivity

3-phonon (LASSO) — q-mesh: 12x9x13, supercell: 2x1x2

../../_images/fig_kappa8176.png

(a) Temperature-dependent lattice thermal conductivity

../../_images/fig_kappa_vs_grain_size4385.png

(b) Peierls lattice thermal conductivity w.r.t grain size

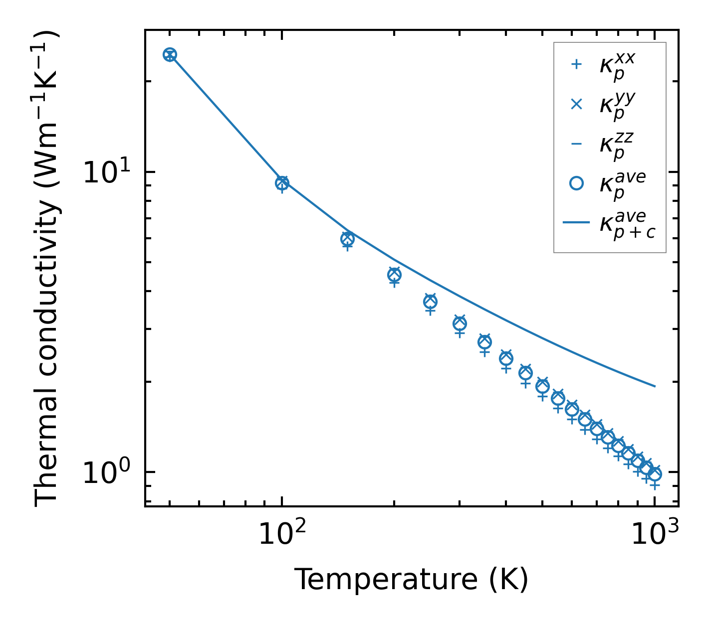
3-phonon (LASSO), supercell 2x2x2 — q-mesh: 12x9x13, supercell: 2x2x2

../../_images/fig_kappa8177.png

(a) Temperature-dependent lattice thermal conductivity

../../_images/fig_kappa_vs_grain_size4386.png

(b) Peierls lattice thermal conductivity w.r.t grain size

Phonon lifetime and scattering rates

../../_images/fig_lifetime4291.png

(a) Phonon lifetime due to phonon-phonon scattering

../../_images/fig_scat_rates4290.png

(b) Phonon scattering rates

Cumulative and spectral thermal conductivity

../../_images/fig_cumu_frequency4291.png

(a) Spectral and cumulative thermal conductivity w.r.t frequency

../../_images/fig_cumu_mfp4290.png

(b) Spectral and cumulative thermal conductivity w.r.t MFP

Force constants

../../_images/fig_fc210395.png

(a) Force constants w.r.t atomic distance

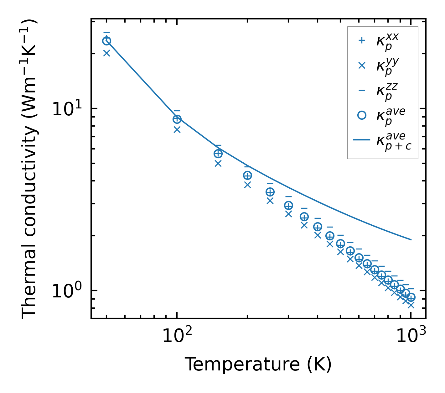
Summary

../../_images/fig_kappa8178.png

(a) Temperature-dependent lattice thermal conductivity

../../_images/fig_times18301.png

(b) Computation time