mp-3733-2/BeTl2F4/anharm

Equation of state

../../_images/fig_bm5409.png

(a) Equation of state

Harmonic properties

../../_images/fig_bandos_pr10993.png

(a) Phonon dispersion with participation ratio and DOS

../../_images/fig_bandos14905.png

(b) Phonon dispersion and DOS

../../_images/fig_thermo10993.png

(c) Thermodynamic properties

Grüneisen parameters

../../_images/fig_gru_all4506.png

(a) Grüneisen parameters

../../_images/fig_gruneisen4506.png

(b) Phonon dispersion with Grüneisen parameters

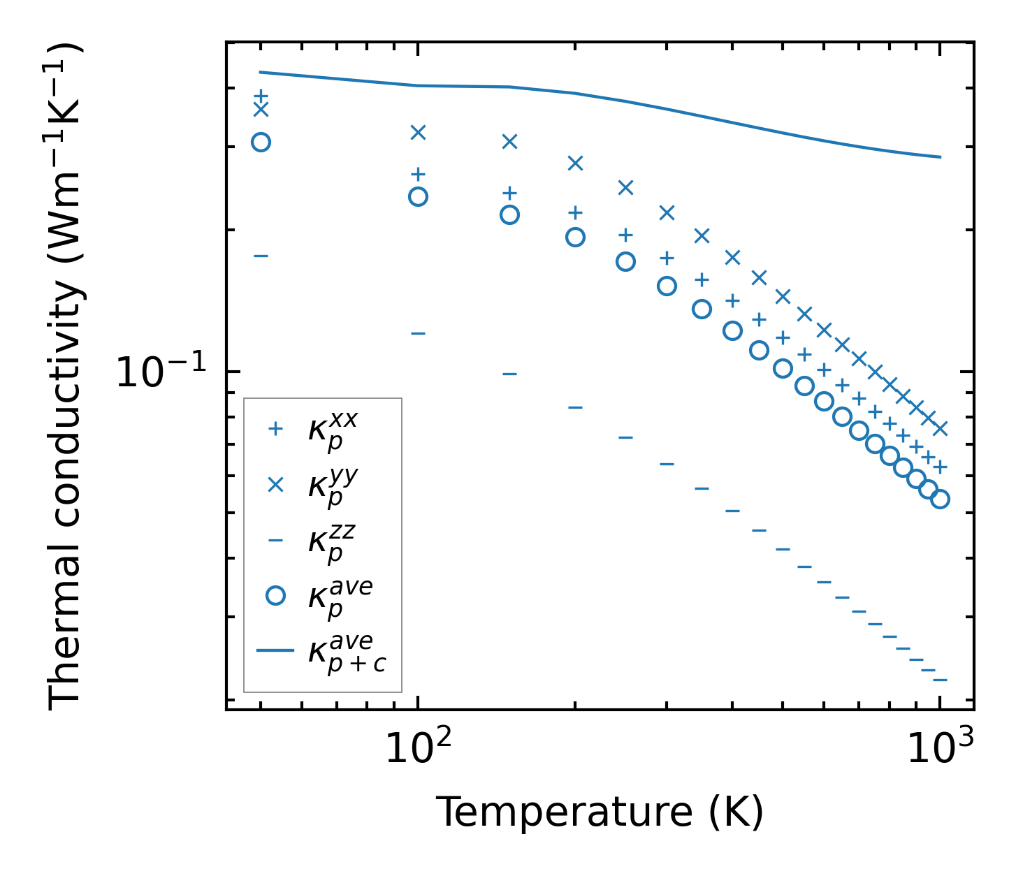
Thermal conductivity

3-phonon (LASSO), supercell 2x2x2 — q-mesh: 9x12x6, supercell: 2x2x2

../../_images/fig_kappa8508.png

(a) Temperature-dependent lattice thermal conductivity

../../_images/fig_kappa_vs_grain_size4561.png

(b) Peierls lattice thermal conductivity w.r.t grain size

Phonon lifetime and scattering rates

../../_images/fig_lifetime4462.png

(a) Phonon lifetime due to phonon-phonon scattering

../../_images/fig_scat_rates4461.png

(b) Phonon scattering rates

Cumulative and spectral thermal conductivity

../../_images/fig_cumu_frequency4462.png

(a) Spectral and cumulative thermal conductivity w.r.t frequency

../../_images/fig_cumu_mfp4461.png

(b) Spectral and cumulative thermal conductivity w.r.t MFP

Force constants

../../_images/fig_fc210717.png

(a) Force constants w.r.t atomic distance

Summary

../../_images/fig_times18778.png

(a) Computation time