mp-3715/CoGeTe/anharm

Harmonic properties

../../_images/fig_bandos_pr10984.png

(a) Phonon dispersion with participation ratio and DOS

../../_images/fig_thermo10984.png

(b) Thermodynamic properties

Grüneisen parameters

../../_images/fig_gru_all4503.png

(a) Grüneisen parameters

../../_images/fig_gruneisen4503.png

(b) Phonon dispersion with Grüneisen parameters

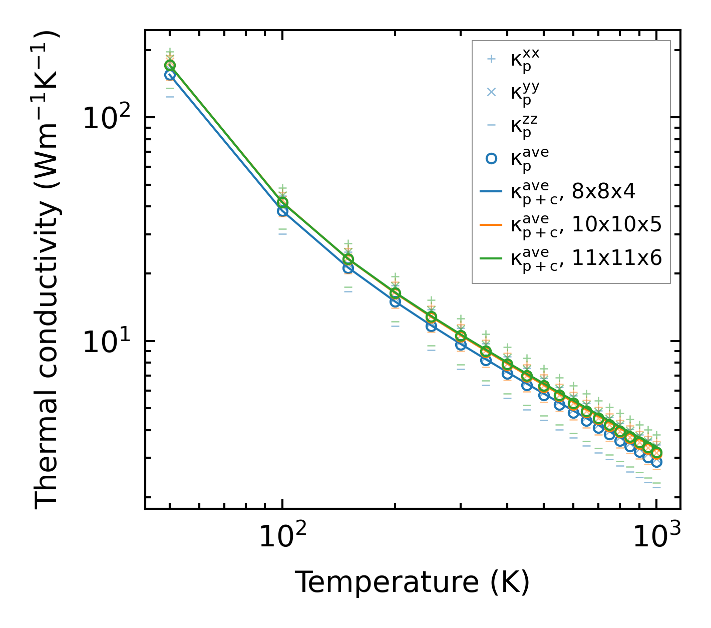
Thermal conductivity

3-phonon (LASSO) — q-mesh: 11x11x6, supercell: 2x2x1

../../_images/fig_kappa8501.png

(a) Temperature-dependent lattice thermal conductivity

../../_images/fig_kappa_vs_grain_size4557.png

(b) Peierls lattice thermal conductivity w.r.t grain size

Phonon lifetime and scattering rates

../../_images/fig_lifetime4459.png

(a) Phonon lifetime due to phonon-phonon scattering

../../_images/fig_scat_rates4458.png

(b) Phonon scattering rates

Cumulative and spectral thermal conductivity

../../_images/fig_cumu_frequency4459.png

(a) Spectral and cumulative thermal conductivity w.r.t frequency

../../_images/fig_cumu_mfp4458.png

(b) Spectral and cumulative thermal conductivity w.r.t MFP

Force constants

../../_images/fig_fc210709.png

(a) Force constants w.r.t atomic distance

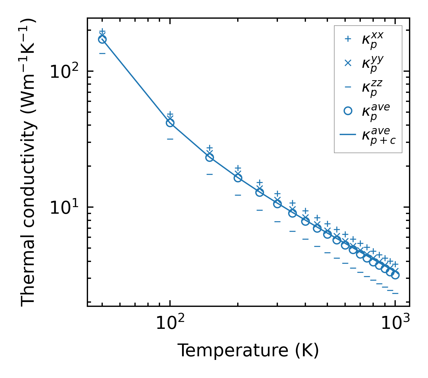
Summary

../../_images/fig_kappa8502.png

(a) Temperature-dependent lattice thermal conductivity

../../_images/fig_times18766.png

(b) Computation time