mp-3777/BaSiN2/anharm

Harmonic properties

../../_images/fig_bandos_pr10633.png

(a) Phonon dispersion with participation ratio and DOS

../../_images/fig_thermo10633.png

(b) Thermodynamic properties

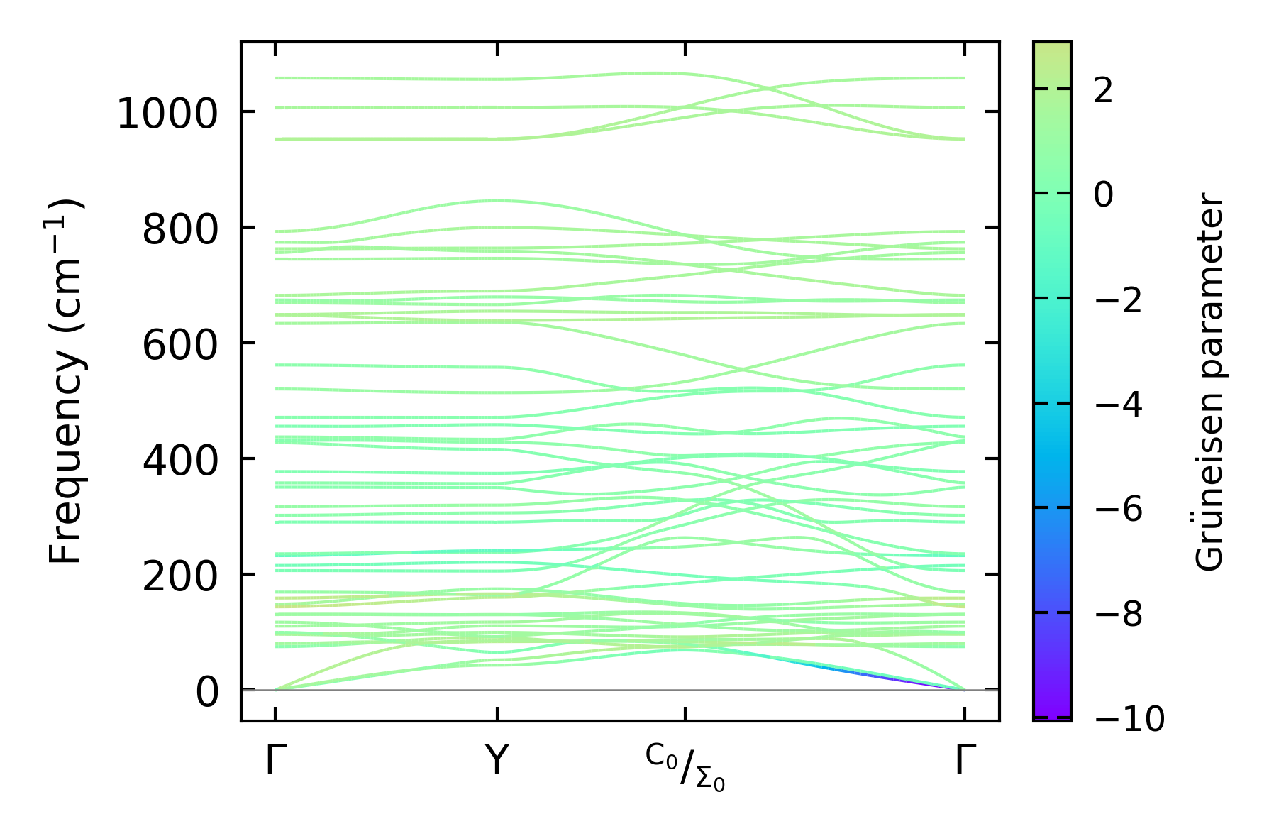
Grüneisen parameters

../../_images/fig_gru_all4317.png

(a) Grüneisen parameters

../../_images/fig_gruneisen4317.png

(b) Phonon dispersion with Grüneisen parameters

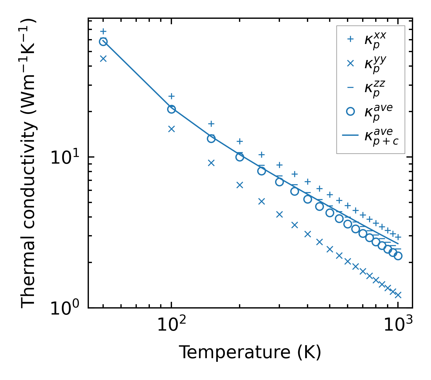
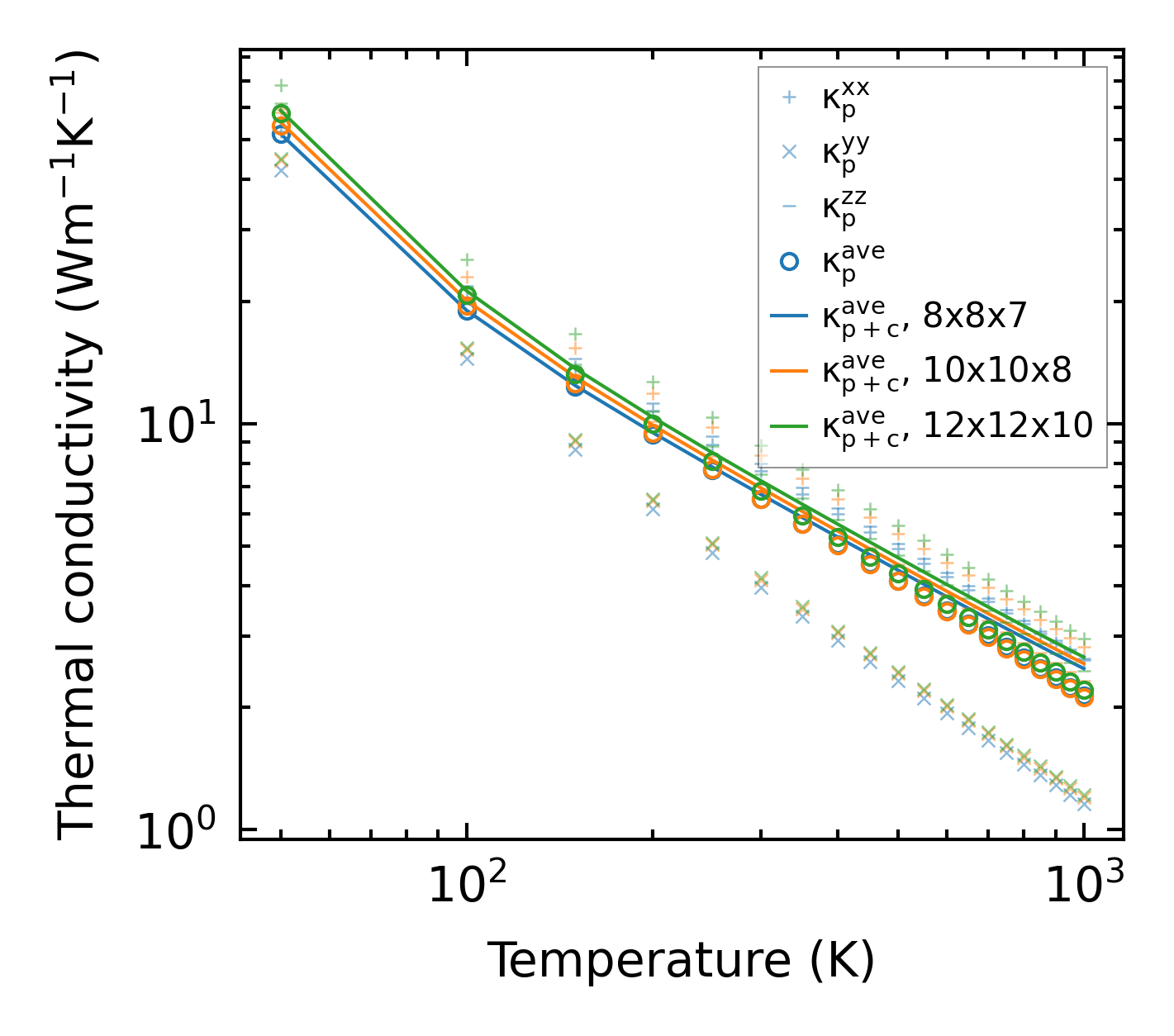
Thermal conductivity

3-phonon (LASSO) — q-mesh: 12x12x10, supercell: 2x1x2

../../_images/fig_kappa8142.png

(a) Temperature-dependent lattice thermal conductivity

../../_images/fig_kappa_vs_grain_size4368.png

(b) Peierls lattice thermal conductivity w.r.t grain size

Phonon lifetime and scattering rates

../../_images/fig_lifetime4274.png

(a) Phonon lifetime due to phonon-phonon scattering

../../_images/fig_scat_rates4273.png

(b) Phonon scattering rates

Cumulative and spectral thermal conductivity

../../_images/fig_cumu_frequency4274.png

(a) Spectral and cumulative thermal conductivity w.r.t frequency

../../_images/fig_cumu_mfp4273.png

(b) Spectral and cumulative thermal conductivity w.r.t MFP

Force constants

../../_images/fig_fc210367.png

(a) Force constants w.r.t atomic distance

Summary

../../_images/fig_kappa8143.png

(a) Temperature-dependent lattice thermal conductivity

../../_images/fig_times18267.png

(b) Computation time