mp-3188/ZnSb2O6/anharm

Harmonic properties

../../_images/fig_bandos_pr10857.png

(a) Phonon dispersion with participation ratio and DOS

../../_images/fig_thermo10857.png

(b) Thermodynamic properties

Grüneisen parameters

../../_images/fig_gru_all4435.png

(a) Grüneisen parameters

../../_images/fig_gruneisen4435.png

(b) Phonon dispersion with Grüneisen parameters

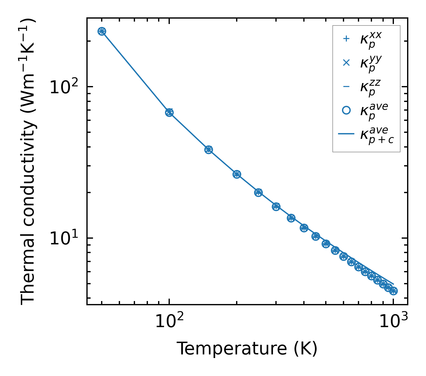
Thermal conductivity

3-phonon (LASSO) — q-mesh: 15x15x7, supercell: 2x2x2

../../_images/fig_kappa8377.png

(a) Temperature-dependent lattice thermal conductivity

../../_images/fig_kappa_vs_grain_size4490.png

(b) Peierls lattice thermal conductivity w.r.t grain size

Phonon lifetime and scattering rates

../../_images/fig_lifetime4392.png

(a) Phonon lifetime due to phonon-phonon scattering

../../_images/fig_scat_rates4391.png

(b) Phonon scattering rates

Cumulative and spectral thermal conductivity

../../_images/fig_cumu_frequency4392.png

(a) Spectral and cumulative thermal conductivity w.r.t frequency

../../_images/fig_cumu_mfp4391.png

(b) Spectral and cumulative thermal conductivity w.r.t MFP

Force constants

../../_images/fig_fc210583.png

(a) Force constants w.r.t atomic distance

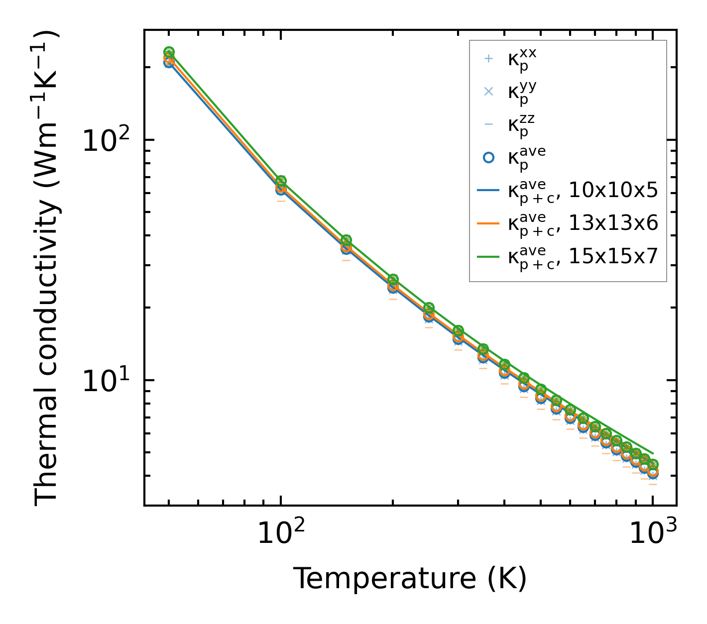
Summary

../../_images/fig_kappa8378.png

(a) Temperature-dependent lattice thermal conductivity

../../_images/fig_times18581.png

(b) Computation time