mp-3551-2/TbAgTe2/anharm

Equation of state

../../_images/fig_bm5381.png

(a) Equation of state

Harmonic properties

../../_images/fig_bandos_pr10947.png

(a) Phonon dispersion with participation ratio and DOS

../../_images/fig_bandos14856.png

(b) Phonon dispersion and DOS

../../_images/fig_thermo10947.png

(c) Thermodynamic properties

Grüneisen parameters

../../_images/fig_gru_all4481.png

(a) Grüneisen parameters

../../_images/fig_gruneisen4481.png

(b) Phonon dispersion with Grüneisen parameters

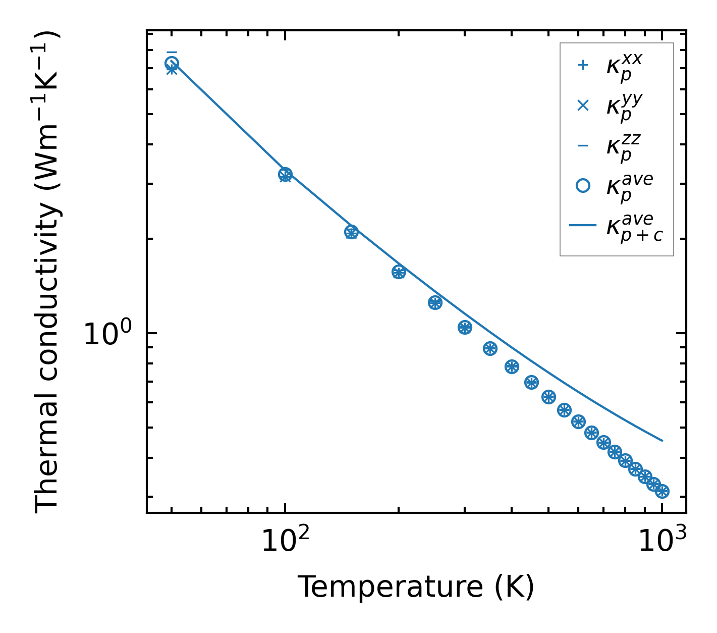
Thermal conductivity

3-phonon (LASSO), supercell 3x3x3 — q-mesh: 10x10x15, supercell: 3x3x3

../../_images/fig_kappa8465.png

(a) Temperature-dependent lattice thermal conductivity

../../_images/fig_kappa_vs_grain_size4536.png

(b) Peierls lattice thermal conductivity w.r.t grain size

Phonon lifetime and scattering rates

../../_images/fig_lifetime4438.png

(a) Phonon lifetime due to phonon-phonon scattering

../../_images/fig_scat_rates4437.png

(b) Phonon scattering rates

Cumulative and spectral thermal conductivity

../../_images/fig_cumu_frequency4438.png

(a) Spectral and cumulative thermal conductivity w.r.t frequency

../../_images/fig_cumu_mfp4437.png

(b) Spectral and cumulative thermal conductivity w.r.t MFP

Force constants

../../_images/fig_fc210672.png

(a) Force constants w.r.t atomic distance

Summary

../../_images/fig_times18712.png

(a) Computation time