mp-3525-2/Sb2Te2Se/anharm

Equation of state

../../_images/fig_bm5378.png

(a) Equation of state

Harmonic properties

../../_images/fig_bandos_pr10940.png

(a) Phonon dispersion with participation ratio and DOS

../../_images/fig_thermo10940.png

(b) Thermodynamic properties

Grüneisen parameters

../../_images/fig_gru_all4476.png

(a) Grüneisen parameters

../../_images/fig_gruneisen4476.png

(b) Phonon dispersion with Grüneisen parameters

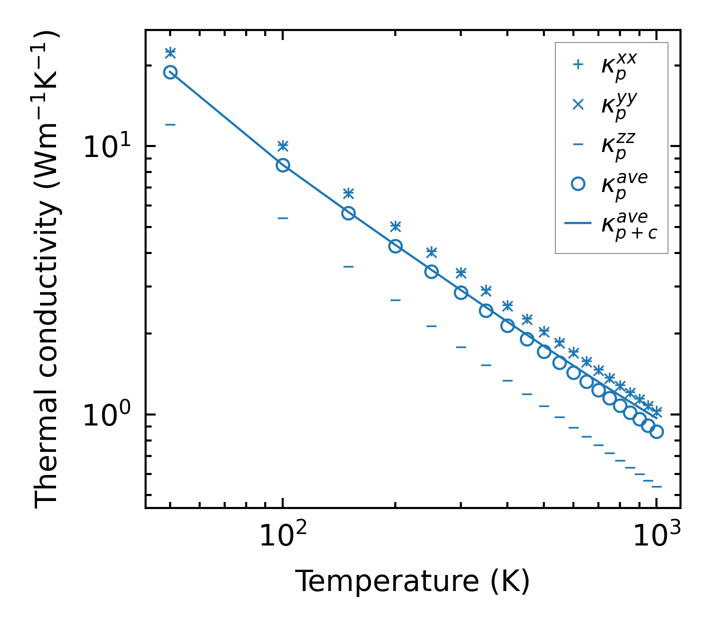
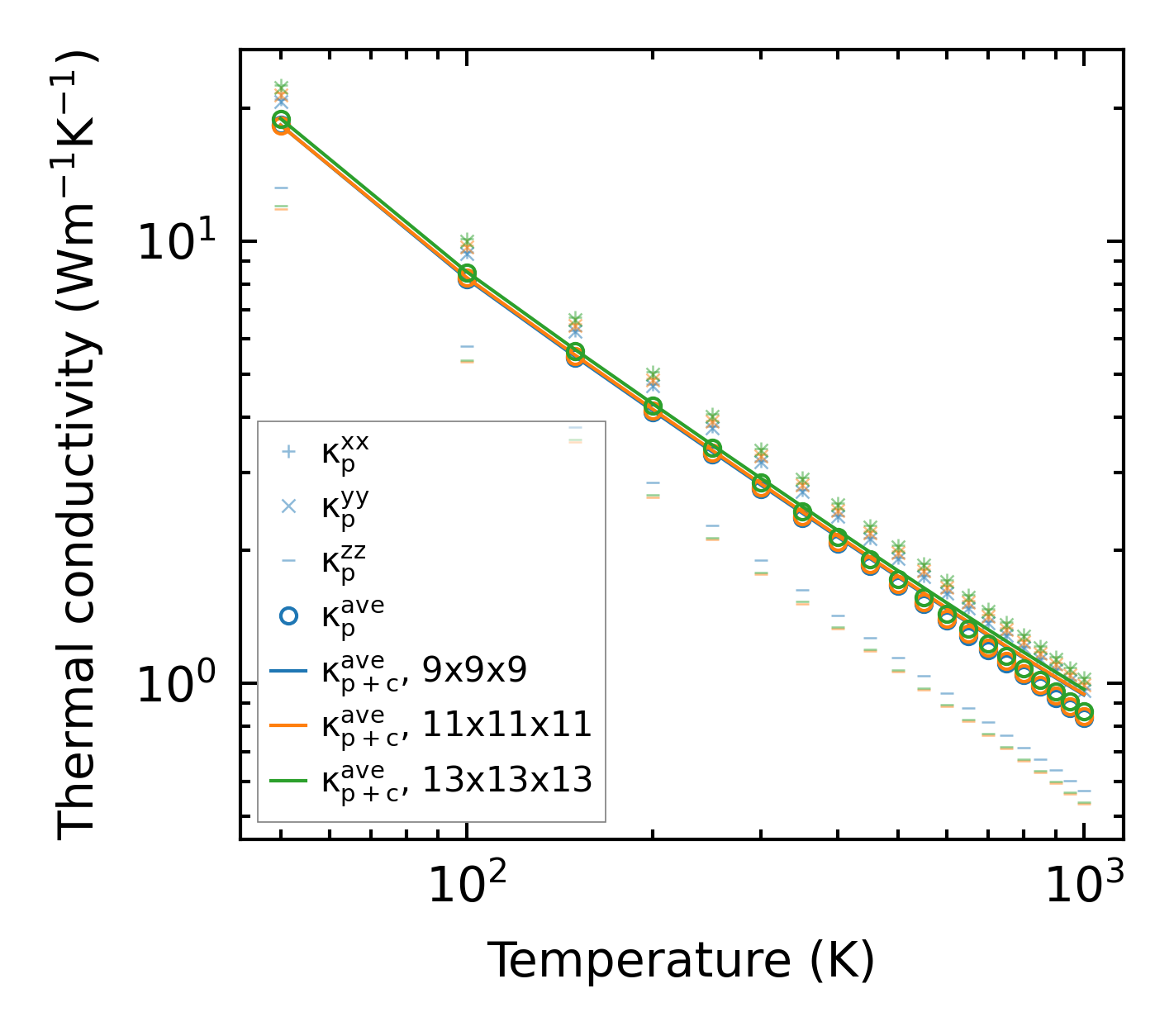
Thermal conductivity

3-phonon (LASSO) — q-mesh: 13x13x13, supercell: 3x3x1

../../_images/fig_kappa8455.png

(a) Temperature-dependent lattice thermal conductivity

../../_images/fig_kappa_vs_grain_size4531.png

(b) Peierls lattice thermal conductivity w.r.t grain size

Phonon lifetime and scattering rates

../../_images/fig_lifetime4433.png

(a) Phonon lifetime due to phonon-phonon scattering

../../_images/fig_scat_rates4432.png

(b) Phonon scattering rates

Cumulative and spectral thermal conductivity

../../_images/fig_cumu_frequency4433.png

(a) Spectral and cumulative thermal conductivity w.r.t frequency

../../_images/fig_cumu_mfp4432.png

(b) Spectral and cumulative thermal conductivity w.r.t MFP

Force constants

../../_images/fig_fc210665.png

(a) Force constants w.r.t atomic distance

Summary

../../_images/fig_kappa8456.png

(a) Temperature-dependent lattice thermal conductivity

../../_images/fig_times18704.png

(b) Computation time