mp-3970/K2TiF6/anharm

Equation of state

../../_images/fig_bm5303.png

(a) Equation of state

Harmonic properties

../../_images/fig_bandos_pr10691.png

(a) Phonon dispersion with participation ratio and DOS

../../_images/fig_bandos14603.png

(b) Phonon dispersion and DOS

../../_images/fig_thermo10691.png

(c) Thermodynamic properties

Grüneisen parameters

../../_images/fig_gru_all4353.png

(a) Grüneisen parameters

../../_images/fig_gruneisen4353.png

(b) Phonon dispersion with Grüneisen parameters

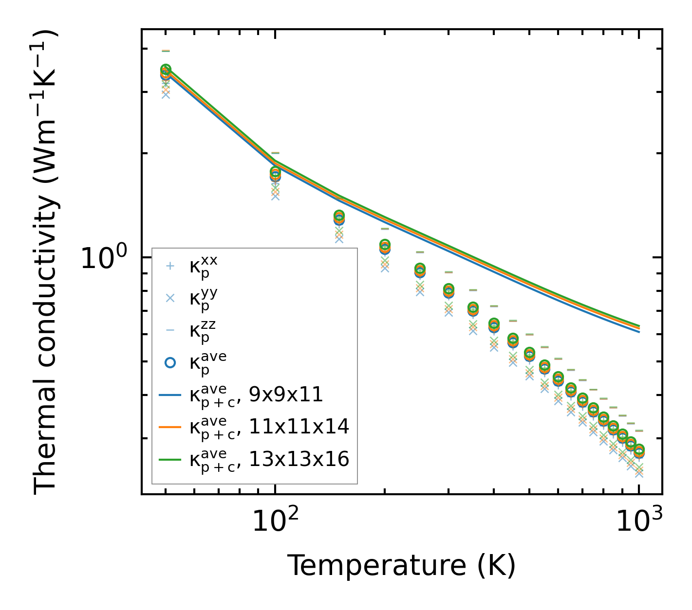
Thermal conductivity

3-phonon (LASSO) — q-mesh: 13x13x16, supercell: 2x2x3

../../_images/fig_kappa8215.png

(a) Temperature-dependent lattice thermal conductivity

../../_images/fig_kappa_vs_grain_size4405.png

(b) Peierls lattice thermal conductivity w.r.t grain size

Phonon lifetime and scattering rates

../../_images/fig_lifetime4310.png

(a) Phonon lifetime due to phonon-phonon scattering

../../_images/fig_scat_rates4309.png

(b) Phonon scattering rates

Cumulative and spectral thermal conductivity

../../_images/fig_cumu_frequency4310.png

(a) Spectral and cumulative thermal conductivity w.r.t frequency

../../_images/fig_cumu_mfp4309.png

(b) Spectral and cumulative thermal conductivity w.r.t MFP

Force constants

../../_images/fig_fc210424.png

(a) Force constants w.r.t atomic distance

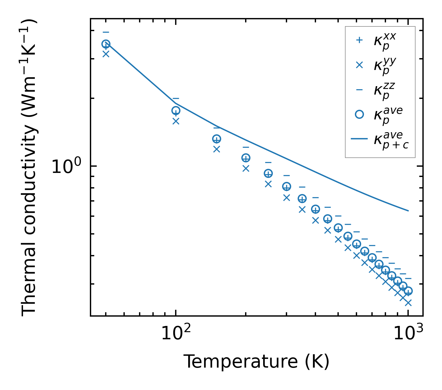
Summary

../../_images/fig_kappa8216.png

(a) Temperature-dependent lattice thermal conductivity

../../_images/fig_times18344.png

(b) Computation time