mp-3857/Ba3P2O8/anharm

Harmonic properties

../../_images/fig_bandos_pr10661.png

(a) Phonon dispersion with participation ratio and DOS

../../_images/fig_thermo10661.png

(b) Thermodynamic properties

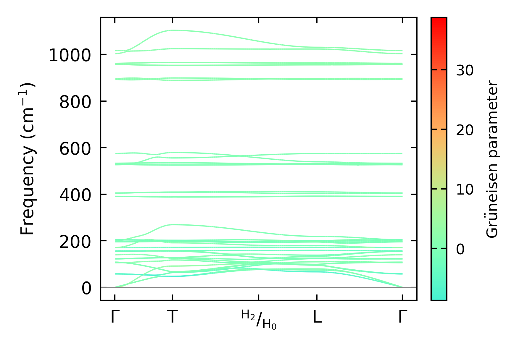
Grüneisen parameters

../../_images/fig_gru_all4333.png

(a) Grüneisen parameters

../../_images/fig_gruneisen4333.png

(b) Phonon dispersion with Grüneisen parameters

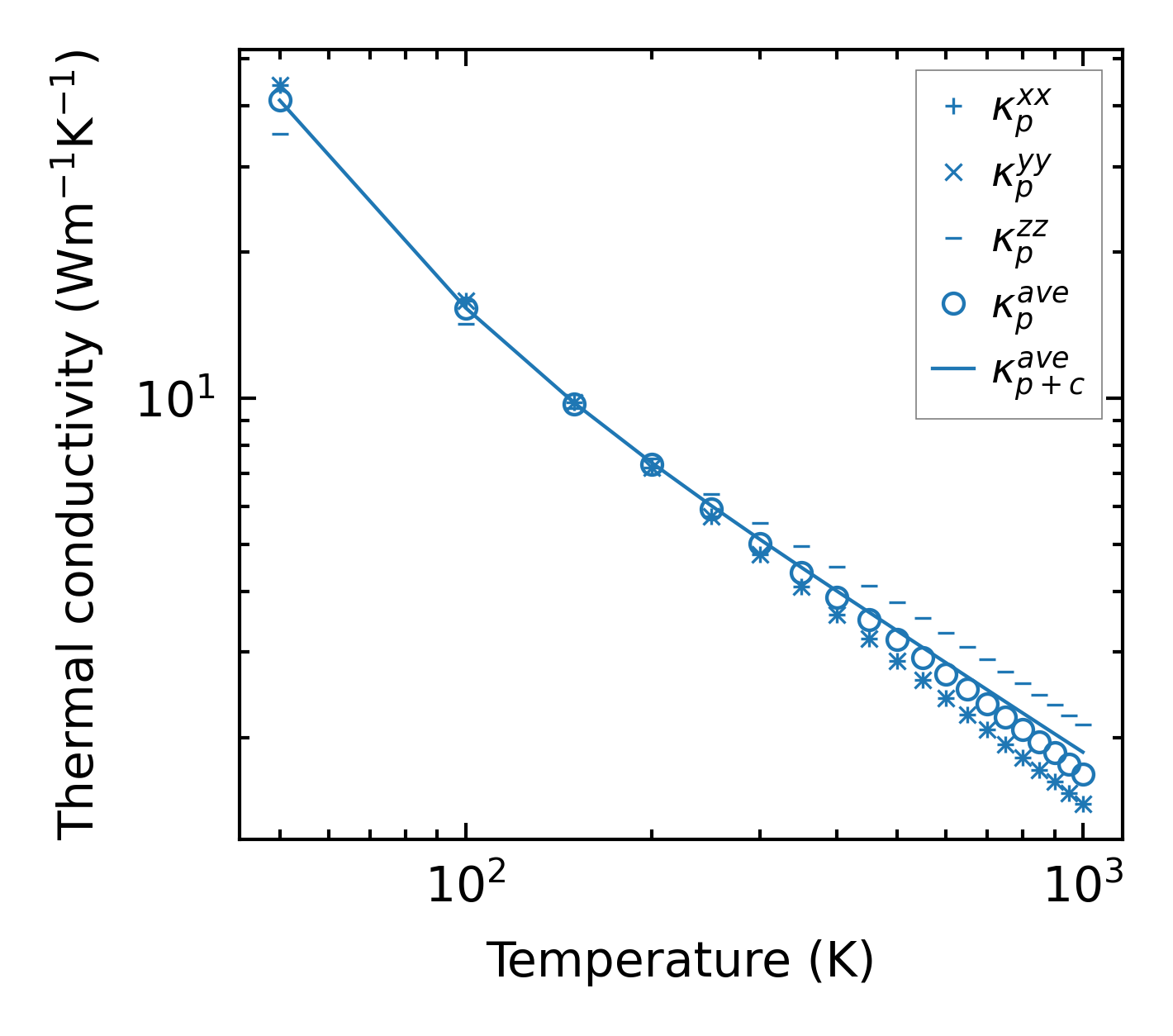
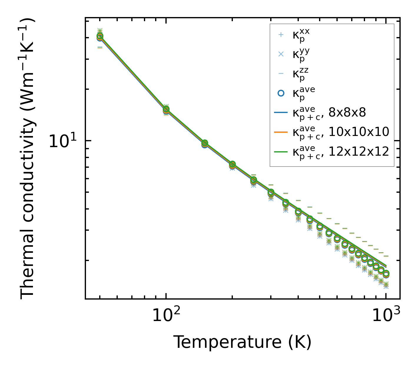
Thermal conductivity

3-phonon (LASSO) — q-mesh: 12x12x12, supercell: 1x1x1

../../_images/fig_kappa8174.png

(a) Temperature-dependent lattice thermal conductivity

../../_images/fig_kappa_vs_grain_size4384.png

(b) Peierls lattice thermal conductivity w.r.t grain size

Phonon lifetime and scattering rates

../../_images/fig_lifetime4290.png

(a) Phonon lifetime due to phonon-phonon scattering

../../_images/fig_scat_rates4289.png

(b) Phonon scattering rates

Cumulative and spectral thermal conductivity

../../_images/fig_cumu_frequency4290.png

(a) Spectral and cumulative thermal conductivity w.r.t frequency

../../_images/fig_cumu_mfp4289.png

(b) Spectral and cumulative thermal conductivity w.r.t MFP

Force constants

../../_images/fig_fc210394.png

(a) Force constants w.r.t atomic distance

Summary

../../_images/fig_kappa8175.png

(a) Temperature-dependent lattice thermal conductivity

../../_images/fig_times18299.png

(b) Computation time