mp-3556/Tm2SO2/anharm

Harmonic properties

../../_images/fig_bandos_pr10950.png

(a) Phonon dispersion with participation ratio and DOS

../../_images/fig_thermo10950.png

(b) Thermodynamic properties

Grüneisen parameters

../../_images/fig_gru_all4484.png

(a) Grüneisen parameters

../../_images/fig_gruneisen4484.png

(b) Phonon dispersion with Grüneisen parameters

Thermal conductivity

3-phonon (LASSO) — q-mesh: 20x20x11, supercell: 3x3x2

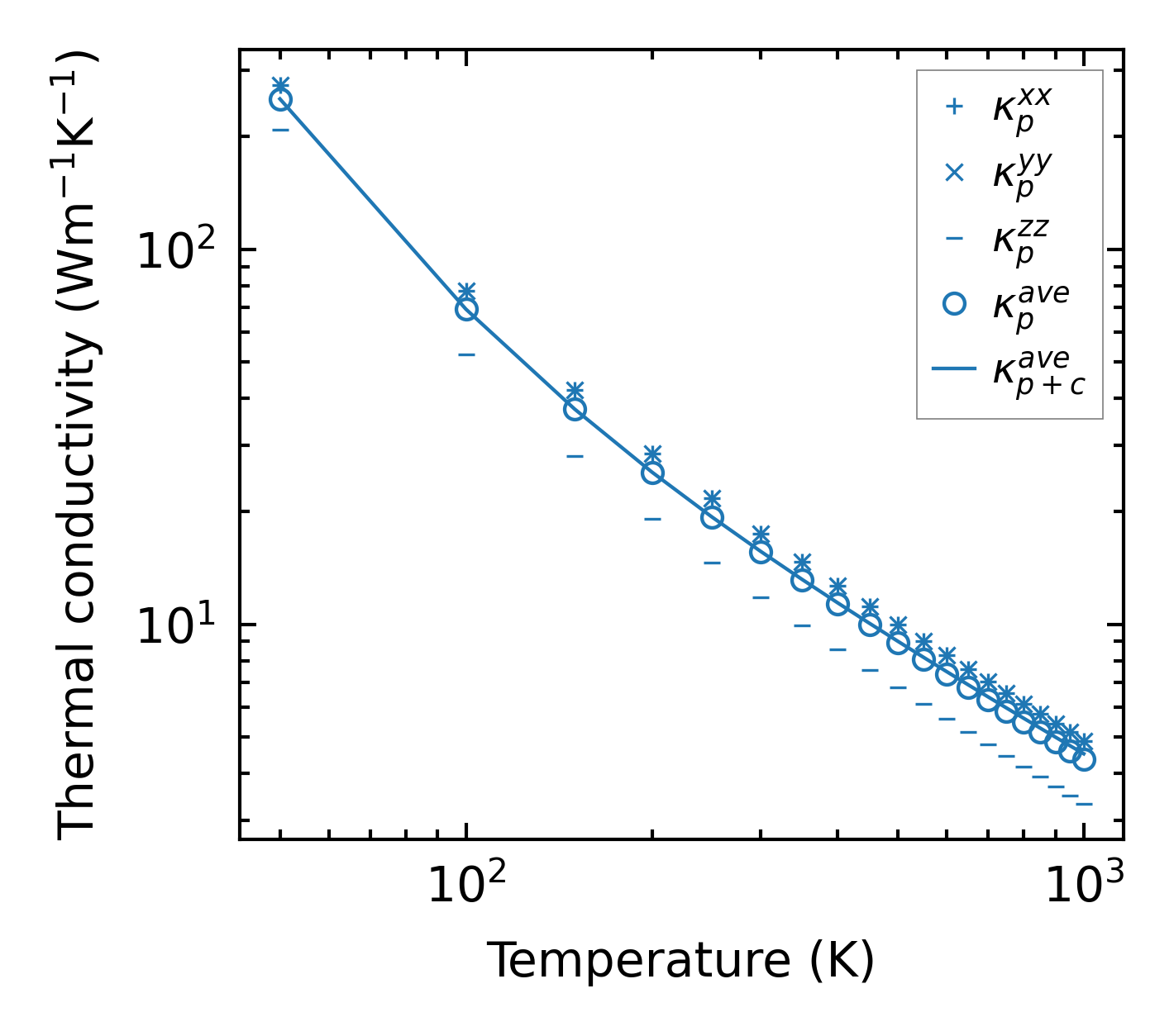
../../_images/fig_kappa8470.png

(a) Temperature-dependent lattice thermal conductivity

../../_images/fig_kappa_vs_grain_size4539.png

(b) Peierls lattice thermal conductivity w.r.t grain size

Phonon lifetime and scattering rates

../../_images/fig_lifetime4441.png

(a) Phonon lifetime due to phonon-phonon scattering

../../_images/fig_scat_rates4440.png

(b) Phonon scattering rates

Cumulative and spectral thermal conductivity

../../_images/fig_cumu_frequency4441.png

(a) Spectral and cumulative thermal conductivity w.r.t frequency

../../_images/fig_cumu_mfp4440.png

(b) Spectral and cumulative thermal conductivity w.r.t MFP

Force constants

../../_images/fig_fc210675.png

(a) Force constants w.r.t atomic distance

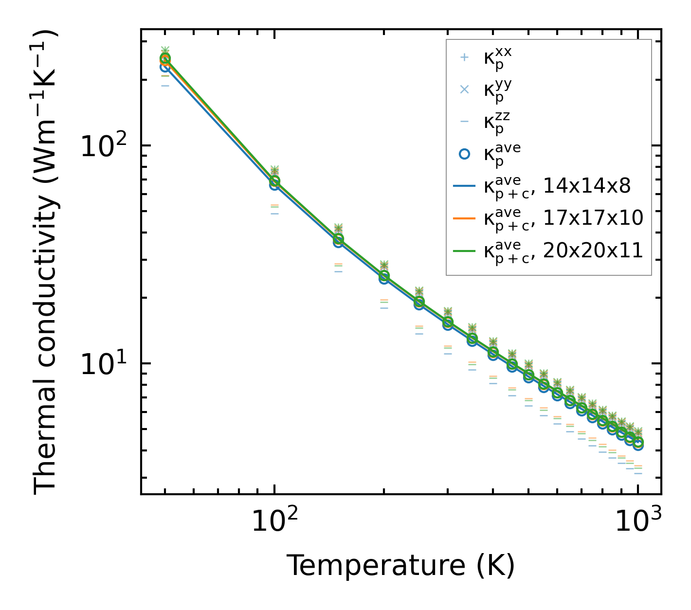
Summary

../../_images/fig_kappa8471.png

(a) Temperature-dependent lattice thermal conductivity

../../_images/fig_times18715.png

(b) Computation time