mp-3143-2/Na2SO4/anharm

Equation of state

../../_images/fig_bm5326.png

(a) Equation of state

Harmonic properties

../../_images/fig_bandos_pr10846.png

(a) Phonon dispersion with participation ratio and DOS

../../_images/fig_thermo10846.png

(b) Thermodynamic properties

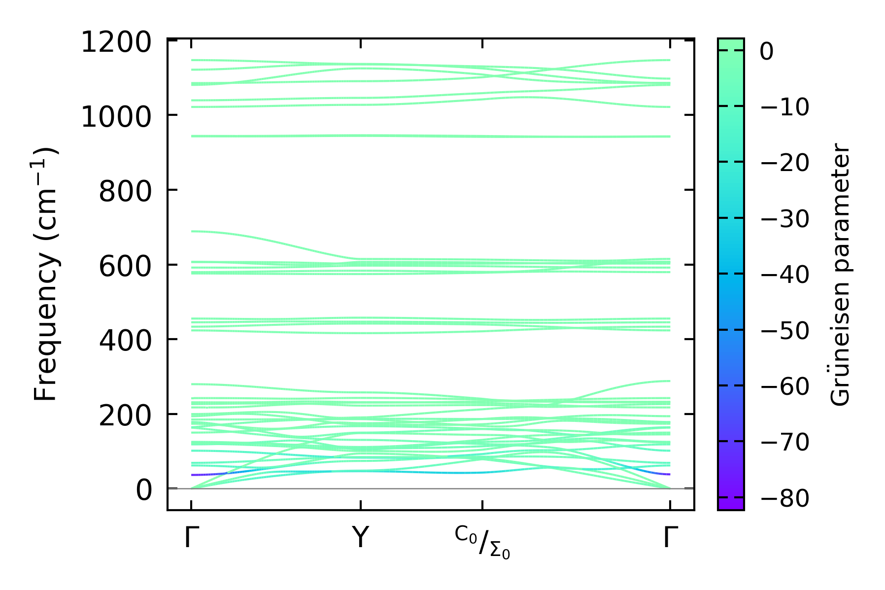
Grüneisen parameters

../../_images/fig_gru_all4430.png

(a) Grüneisen parameters

../../_images/fig_gruneisen4430.png

(b) Phonon dispersion with Grüneisen parameters

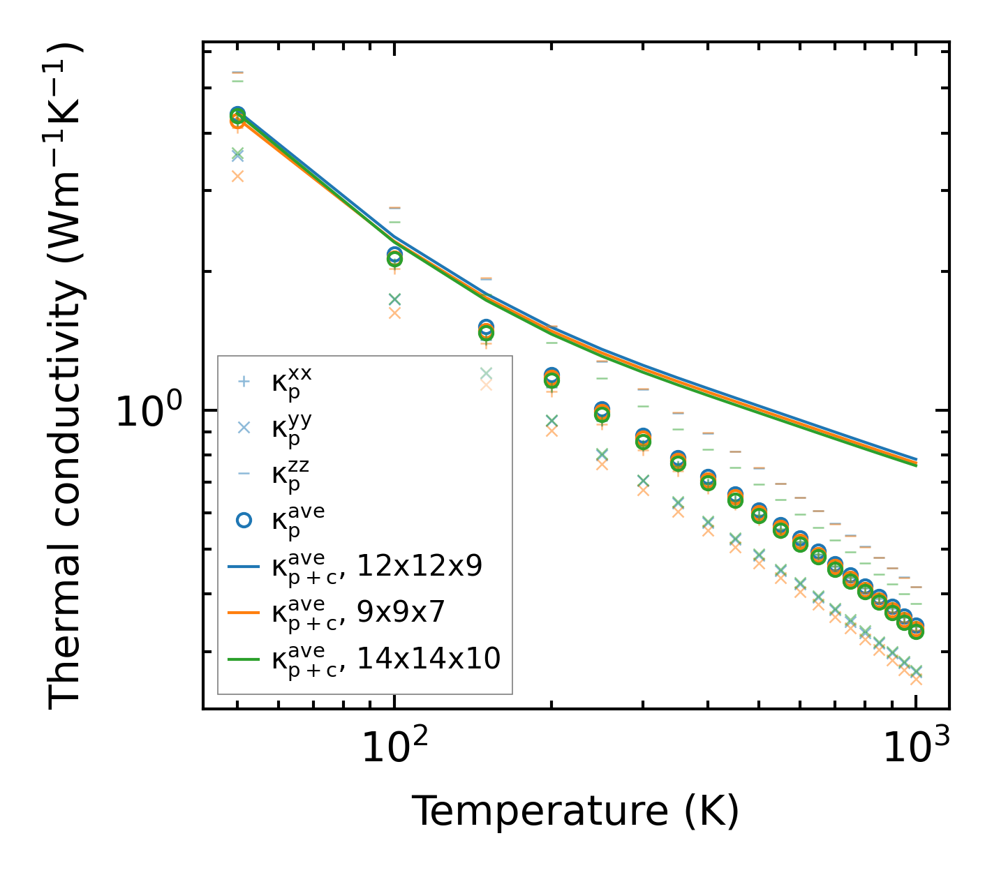
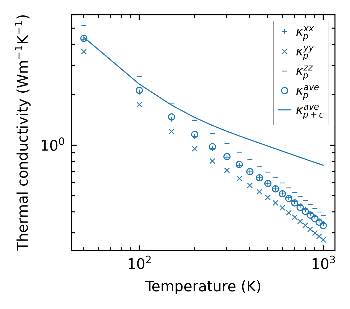
Thermal conductivity

3-phonon (LASSO) — q-mesh: 14x14x10, supercell: 2x1x2

../../_images/fig_kappa8366.png

(a) Temperature-dependent lattice thermal conductivity

../../_images/fig_kappa_vs_grain_size4484.png

(b) Peierls lattice thermal conductivity w.r.t grain size

Phonon lifetime and scattering rates

../../_images/fig_lifetime4387.png

(a) Phonon lifetime due to phonon-phonon scattering

../../_images/fig_scat_rates4386.png

(b) Phonon scattering rates

Cumulative and spectral thermal conductivity

../../_images/fig_cumu_frequency4387.png

(a) Spectral and cumulative thermal conductivity w.r.t frequency

../../_images/fig_cumu_mfp4386.png

(b) Spectral and cumulative thermal conductivity w.r.t MFP

Force constants

../../_images/fig_fc210573.png

(a) Force constants w.r.t atomic distance

Summary

../../_images/fig_kappa8367.png

(a) Temperature-dependent lattice thermal conductivity

../../_images/fig_times18566.png

(b) Computation time