mp-3211/Nd2SO2/anharm

Harmonic properties

../../_images/fig_bandos_pr10860.png

(a) Phonon dispersion with participation ratio and DOS

../../_images/fig_thermo10860.png

(b) Thermodynamic properties

Grüneisen parameters

../../_images/fig_gru_all4437.png

(a) Grüneisen parameters

../../_images/fig_gruneisen4437.png

(b) Phonon dispersion with Grüneisen parameters

Thermal conductivity

3-phonon (LASSO) — q-mesh: 19x19x11, supercell: 3x3x2

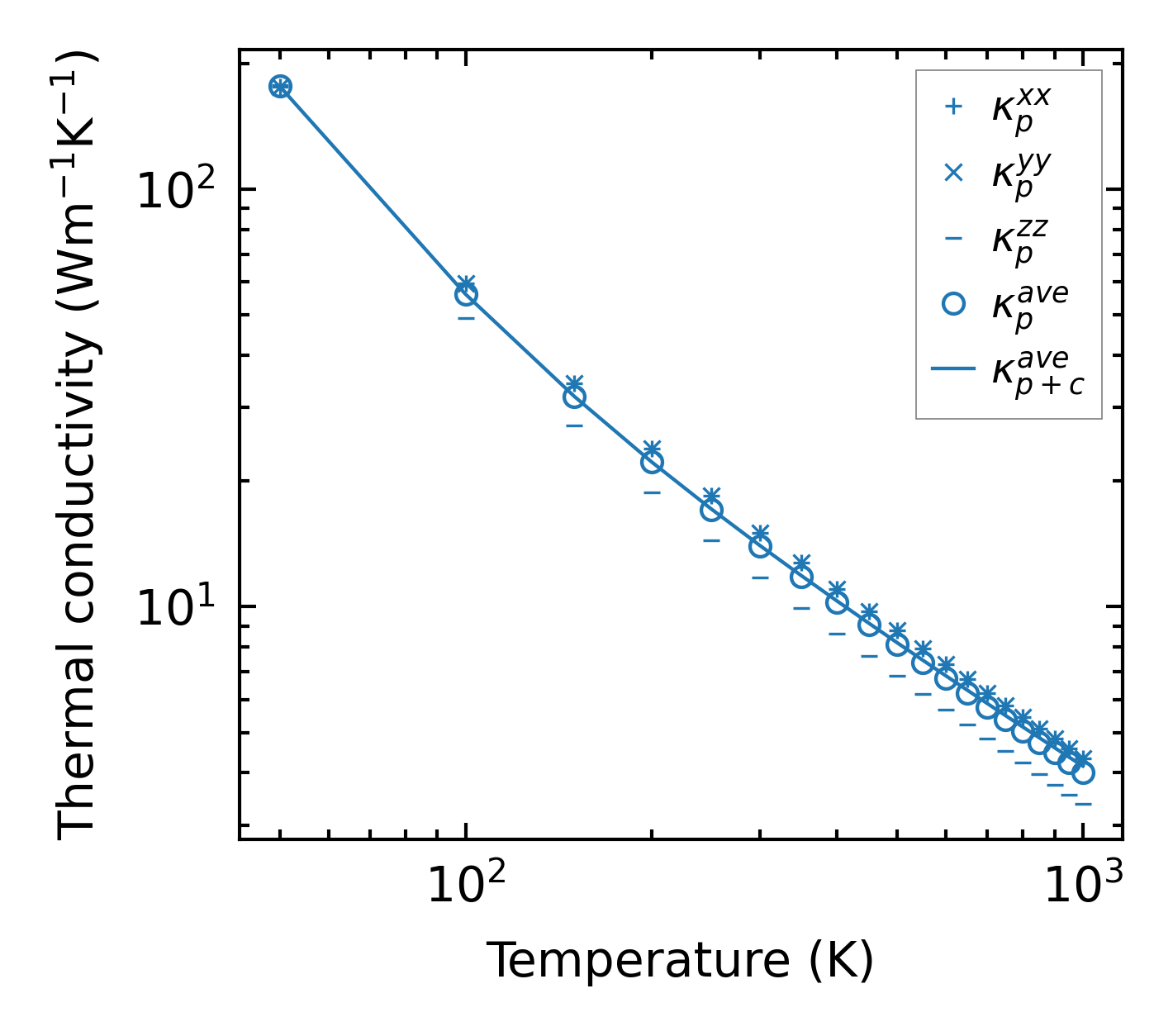
../../_images/fig_kappa8381.png

(a) Temperature-dependent lattice thermal conductivity

../../_images/fig_kappa_vs_grain_size4492.png

(b) Peierls lattice thermal conductivity w.r.t grain size

Phonon lifetime and scattering rates

../../_images/fig_lifetime4394.png

(a) Phonon lifetime due to phonon-phonon scattering

../../_images/fig_scat_rates4393.png

(b) Phonon scattering rates

Cumulative and spectral thermal conductivity

../../_images/fig_cumu_frequency4394.png

(a) Spectral and cumulative thermal conductivity w.r.t frequency

../../_images/fig_cumu_mfp4393.png

(b) Spectral and cumulative thermal conductivity w.r.t MFP

Force constants

../../_images/fig_fc210586.png

(a) Force constants w.r.t atomic distance

Summary

../../_images/fig_kappa8382.png

(a) Temperature-dependent lattice thermal conductivity

../../_images/fig_times18588.png

(b) Computation time