mp-3163/BaSnO3/anharm

Harmonic properties

../../_images/fig_bandos_pr10853.png

(a) Phonon dispersion with participation ratio and DOS

../../_images/fig_thermo10853.png

(b) Thermodynamic properties

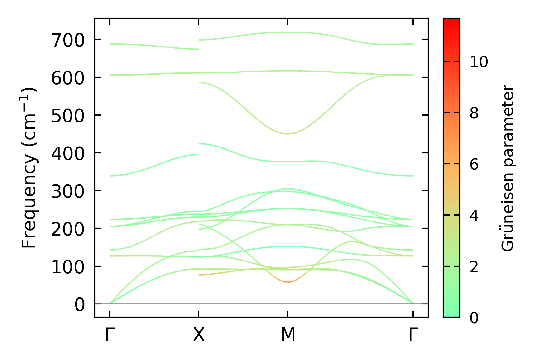
Grüneisen parameters

../../_images/fig_gru_all4432.png

(a) Grüneisen parameters

../../_images/fig_gruneisen4432.png

(b) Phonon dispersion with Grüneisen parameters

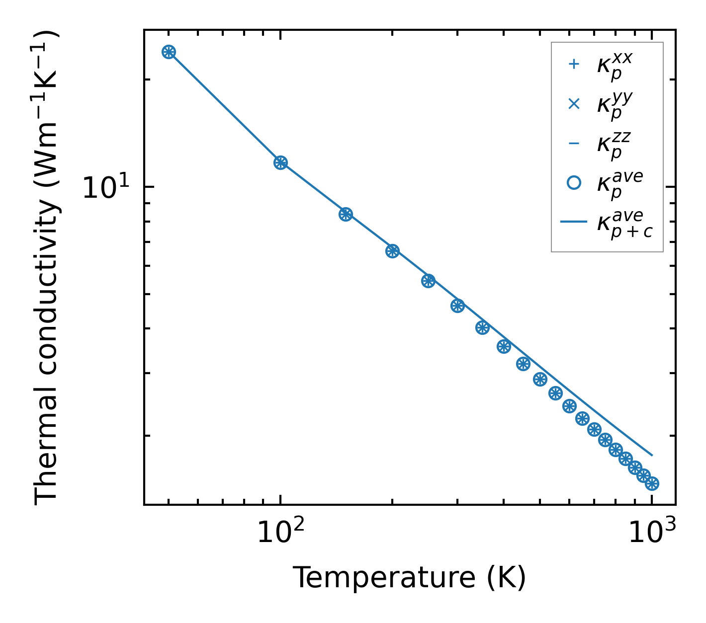
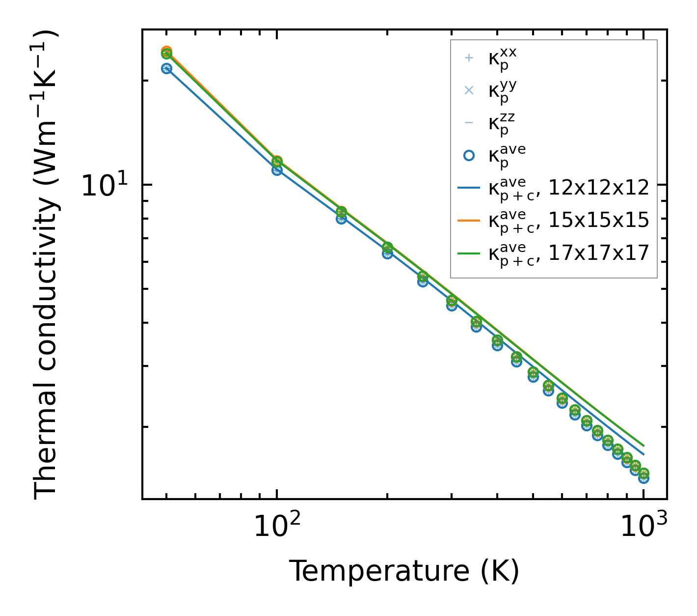
Thermal conductivity

3-phonon — q-mesh: 17x17x17, supercell: 3x3x3

../../_images/fig_kappa8370.png

(a) Temperature-dependent lattice thermal conductivity

../../_images/fig_kappa_vs_grain_size4486.png

(b) Peierls lattice thermal conductivity w.r.t grain size

Phonon lifetime and scattering rates

../../_images/fig_lifetime4389.png

(a) Phonon lifetime due to phonon-phonon scattering

../../_images/fig_scat_rates4388.png

(b) Phonon scattering rates

Cumulative and spectral thermal conductivity

../../_images/fig_cumu_frequency4389.png

(a) Spectral and cumulative thermal conductivity w.r.t frequency

../../_images/fig_cumu_mfp4388.png

(b) Spectral and cumulative thermal conductivity w.r.t MFP

Force constants

../../_images/fig_fc3274.png

(a) Force constants w.r.t atomic distance

Summary

../../_images/fig_kappa8371.png

(a) Temperature-dependent lattice thermal conductivity

../../_images/fig_times18573.png

(b) Computation time