mp-3821-2/K2PtF6/anharm

Equation of state

../../_images/fig_bm5282.png

(a) Equation of state

Harmonic properties

../../_images/fig_bandos_pr10650.png

(a) Phonon dispersion with participation ratio and DOS

../../_images/fig_bandos14569.png

(b) Phonon dispersion and DOS

../../_images/fig_thermo10650.png

(c) Thermodynamic properties

Grüneisen parameters

../../_images/fig_gru_all4327.png

(a) Grüneisen parameters

../../_images/fig_gruneisen4327.png

(b) Phonon dispersion with Grüneisen parameters

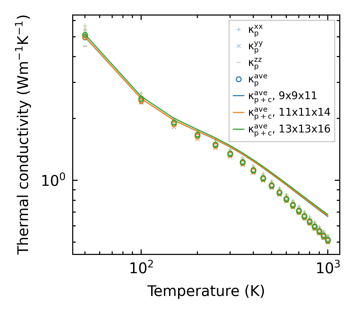
Thermal conductivity

3-phonon (LASSO) — q-mesh: 13x13x16, supercell: 2x2x3

../../_images/fig_kappa8162.png

(a) Temperature-dependent lattice thermal conductivity

../../_images/fig_kappa_vs_grain_size4378.png

(b) Peierls lattice thermal conductivity w.r.t grain size

Phonon lifetime and scattering rates

../../_images/fig_lifetime4284.png

(a) Phonon lifetime due to phonon-phonon scattering

../../_images/fig_scat_rates4283.png

(b) Phonon scattering rates

Cumulative and spectral thermal conductivity

../../_images/fig_cumu_frequency4284.png

(a) Spectral and cumulative thermal conductivity w.r.t frequency

../../_images/fig_cumu_mfp4283.png

(b) Spectral and cumulative thermal conductivity w.r.t MFP

Force constants

../../_images/fig_fc210383.png

(a) Force constants w.r.t atomic distance

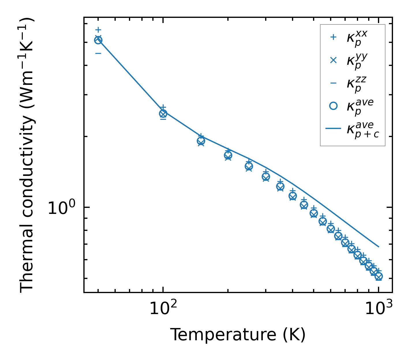
Summary

../../_images/fig_kappa8163.png

(a) Temperature-dependent lattice thermal conductivity

../../_images/fig_times18285.png

(b) Computation time