mp-3143/Na2SO4/anharm

Harmonic properties

../../_images/fig_bandos_pr10845.png

(a) Phonon dispersion with participation ratio and DOS

../../_images/fig_thermo10845.png

(b) Thermodynamic properties

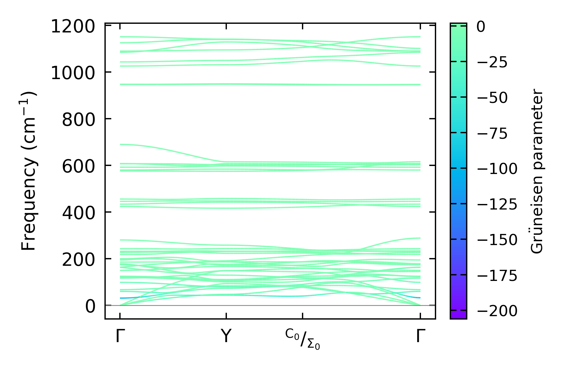
Grüneisen parameters

../../_images/fig_gru_all4429.png

(a) Grüneisen parameters

../../_images/fig_gruneisen4429.png

(b) Phonon dispersion with Grüneisen parameters

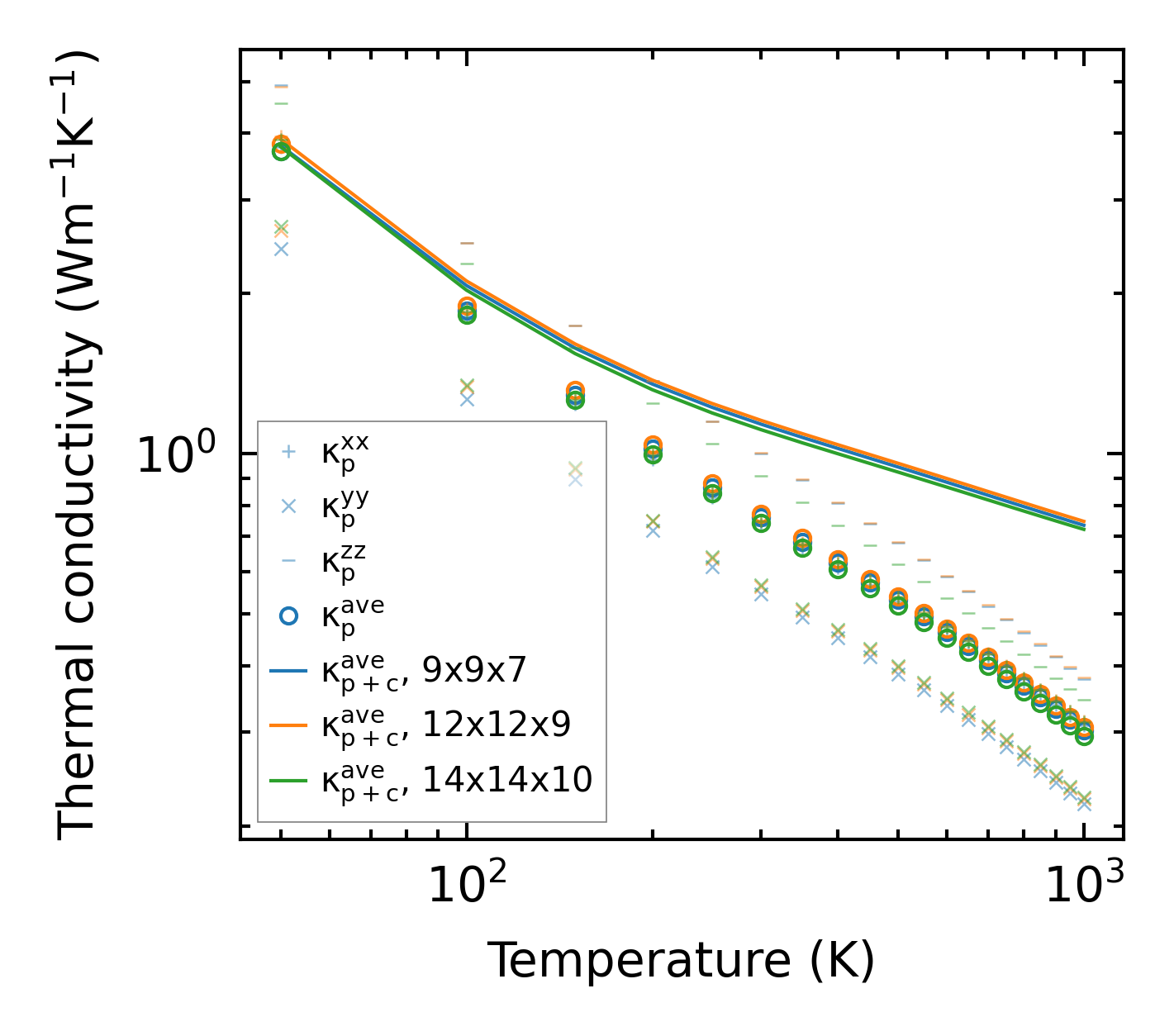
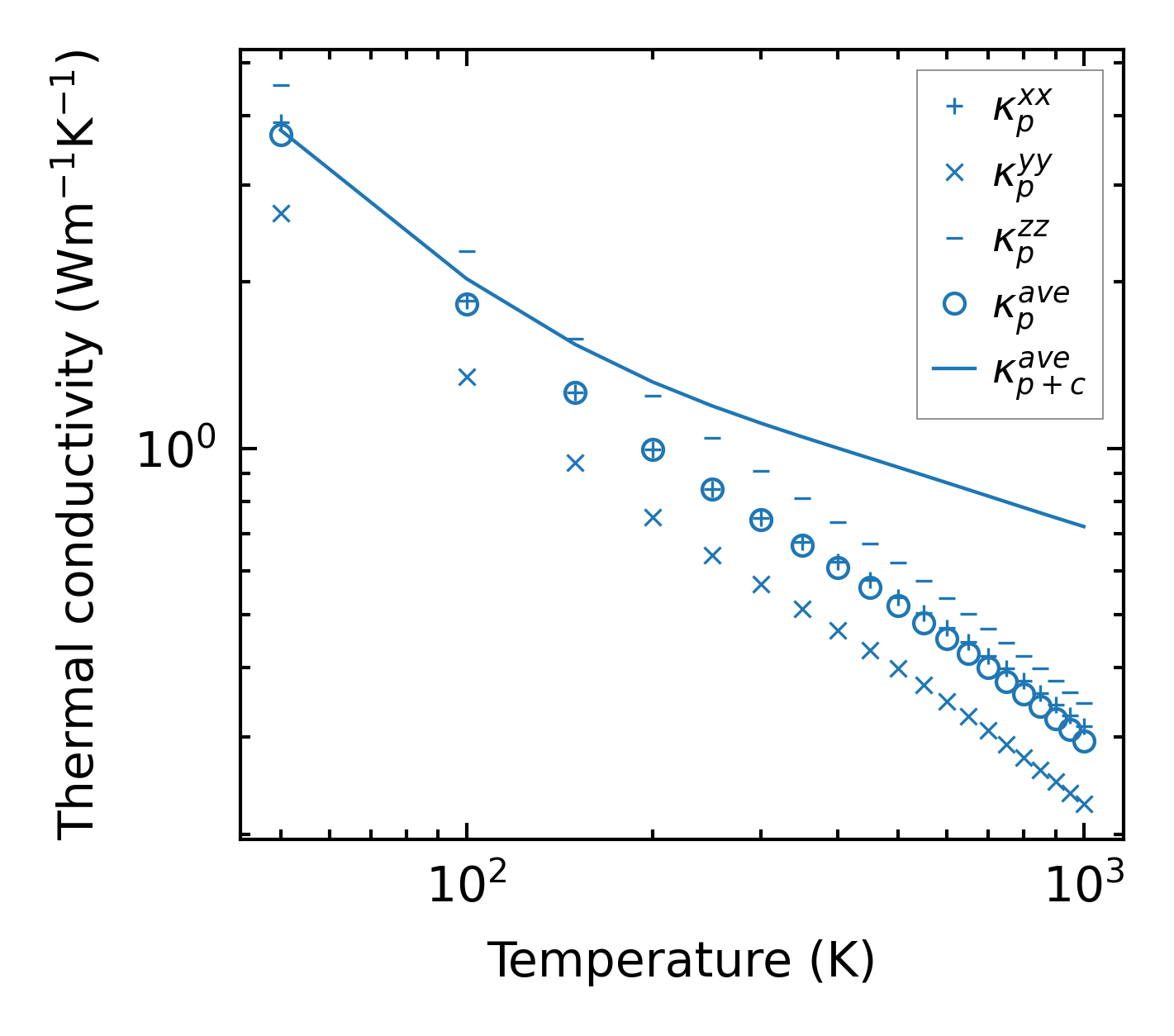
Thermal conductivity

3-phonon (LASSO) — q-mesh: 14x14x10, supercell: 2x1x2

../../_images/fig_kappa8364.png

(a) Temperature-dependent lattice thermal conductivity

../../_images/fig_kappa_vs_grain_size4483.png

(b) Peierls lattice thermal conductivity w.r.t grain size

Phonon lifetime and scattering rates

../../_images/fig_lifetime4386.png

(a) Phonon lifetime due to phonon-phonon scattering

../../_images/fig_scat_rates4385.png

(b) Phonon scattering rates

Cumulative and spectral thermal conductivity

../../_images/fig_cumu_frequency4386.png

(a) Spectral and cumulative thermal conductivity w.r.t frequency

../../_images/fig_cumu_mfp4385.png

(b) Spectral and cumulative thermal conductivity w.r.t MFP

Force constants

../../_images/fig_fc210572.png

(a) Force constants w.r.t atomic distance

Summary

../../_images/fig_kappa8365.png

(a) Temperature-dependent lattice thermal conductivity

../../_images/fig_times18565.png

(b) Computation time